Синестезия в "Двенадцатой ночи" У. Шекспира
I. Общие проблемы. Сущность явления синестезии.
Целью данной работы является рассмотрение проблемы синестезии на материале комедии «Двенадцатая ночь» (1600) (Twelfth Night, or What You Will), в значительной мере представляющей собою итог развития комедийного жанра в творчестве драматурга. Прием синестезии, теоретически осмысленный представителями романтизма и символизма, нередок в творчестве Шекспира и в значительной мере определяет художественную систему автора. До сих пор данной проблеме в научных исследованиях уделялось сравнительно малое внимание. Данный вопрос освещался преимущественно в исследованиях метафорики Шекспира: проблеме «органов чувств» отводится глава в монографии “Шекспировская образность и то, о чем она говорит нам” (1935) Кэролин Ф. Спёрджин[i], но в ней не представлен систематический взгляд на сущность взаимодействия планов зрительного, слухового, обонятельного, вкусового и тактильного типов восприятия; жанровая специфика шекспировской метафорики подробно рассмотрена в данном исследовании; соответствующие проблемы вскользь упоминаются в работе “Шекспир: значение и метафора” (1987) Энн и Джона Томпсонов[ii], посвященной анализу различных концепций метафоры с позиций современных лингвистики, психологии и философии; данные концепты изучались и с точки зрения реализации драматургии Шекспира на сцене: такова лекция Дитера Меля “Визуальная и риторическая образность в шекспировских пьесах” (1972)[iii]*.
Наиболее распространенное понимание синестезии таково: «Синестезия – это непроизвольное соединение, при котором поступление реальной информации по одному сенсорному каналу сопровождается восприятием другого органа чувств»[iv]. В приведенной дефиниции вызывают вопросы лишь два слова: “непроизвольный” и “реальный”. При создании словесного произведения синестезия может быть как плодом тщательного обдумывания, так и непроизвольной психической операцией. Более того, в современной психологии хорошо известно то, что эйдетическое (термин введен Э. Йеншем, но в данной работе при его использовании подчеркивается преимущественно синестетический аспект) восприятие до некоторой степени поддается тренировке; синестетическое мышление может становиться глубоко продуманной творческой позицией (Е. Бусон, Ш. Бодлер, А.Скрябин, В.Набоков, и др.). Синестезия при создании художественных образов имеет дело не только, и даже не столько с информацией, поступающей через естественные анализаторы из окружающего, так называемого «реального» мира, сколько с ее имитацией посредством воображения. «Пересечения категорий» (category-crossings) могут многократно «отражаться» друг от друга, проецироваться от воображаемых объектов. Таким образом, в данной работе синестезия будет пониматься как явление взаимодействия планов «чувственного» восприятия, характеризуемое их совмещением в описании того или иного объекта художественной действительности. Данная концепция близка пониманию синестезии, предложенному Ш. Бодлером, осмыслившему его как цельный метод познания, самодостаточную парадигму творчества, активизирующую работу памяти художника. Часто под синестезией подразумевается совмещение восприятия всех органов чувств. Безусловно, существование термина для обозначения данного понятия целесообразно. Должно проводиться четкое разделение синестезии, под которой чаще всего (как и в данной работе) подразумевается взаимодействие восприятия хотя бы двух органов чувств, и вышеобозначенного понятия.*В качестве яркого примера синестезии можно привести строки из монолога Орсино, открывающего «Двенадцатую ночь»:
1*. That strain again! It had a dying fall;
O, it came o'er my ear like the sweet sound
That breathes upon a bank of violets,
Stealing and giving odour!
В данном примере слуховой образ (“strain”, “dying fall”) вызывает еще одну аудиальную ассоциацию: метафорически сопоставляется со звуком ветра – в этом нет ни малейшего намека на синестетическое восприятие (контекст позволяет понять то, что речь идет о ветре, а не об абстрактном «сладком звуке» уже тогда, когда возникает визуальный образ фиалок, но в данном случае формирование образов рассматривается не в строго линейной последовательности, а с точки зрения логики проведения смысловых связей). Этот аудиальный мотив (на основе метонимии) порождает визуальное восприятие ветра, которое также проясняется лишь через последующий зрительный мотив – берег фиалок. Одновременно второй зрительный план по принципу смежности может породить и тактильное восприятие ветра, но данная возможность напрямую не заложена в партитуре текста и может возникать лишь в индивидуальном читательском сознании. Визуальная тема порождает и вкусовое восприятие, на что указывает слово “sweet”. Образ ветра метонимически вызывает появление мотива фиалок. В свою очередь, зрительный образ цветов, который без последующей строки мог бы иметь лишь потенциальную возможность реализации, неожиданно – вновь путем метонимии – вызывает обонятельную ассоциацию, неразрывно связанную со вкусовым планом, который также может описываться многозначной лексемой “sweet”. Таким образом, в трех с половиной строках монолога Орсино четыре плана «чувственного» восприятия (звук, изображение, запах, вкус) представлены прямо, один (тактильный) – косвенно. Развитие образа можно проиллюстрировать следующей схемой:

(в данной работе будут использоваться следующие обозначения: С – слуховой, З – зрительный, О – обонятельный, Т – тактильный, В – вкусовой; знак «↔» будет означать взаимообусловленность мотивов; косвенные ассоциации, прямо не прописанные в тексте, включаться в разбор, как правило, не будут).
Разделение косвенных и непосредственно предусмотренных текстом ассоциаций достаточно сложно. В монологе Орсино стершаяся метафора “sweet” актуализируется контекстом, требующим столкновения наибольшего числа «чувственных» мотивов. Ко второму случаю следует относить те примеры, когда эйдетическое восприятие прописано словами «see», «feel», etc, а также те контексты, в которых сама структура синестезии вызывает образное восприятие тех или иных вербальных фрагментов. Остальные случаи должны описываться, исходя из критериев мысленной представимости (возможности конкретно-образной репрезентации в сознании читателя) и оригинальности. Стершиеся метафоры вне актуализирующего контекста учитываться не будут*.
Чтобы лучше понять сущность механизмов синестезии как литературного приема, необходимо остановиться на соотношении понятий «плана восприятия» (senses) и «метафоры». В монографии [Spurgeon1935] сущность последней трактуется крайне широко и фактически приравнивается к понятию образа. Представленное у Spurgeonпонимание термина “метафора” достаточно близко тому видению и той классификации, которые изложены в работах Джонсона и Лакоффа[v]: по мнению данных исследователей, существует три типа метафор: 1. структурная, 2. онтологическая, 3. пространственная (orientational). При этом лишь первый тип соответствует наиболее традиционному пониманию идеи метафоры как явления нахождения аналогий, сопоставления предметов по сходству. Второй класс имеет дело с чисто логическим, когнитивным родством понятий; третий предполагает лишь пространственную соотнесенность явлений. Как справедливо отмечают Томпсоны, второй и в особенности третий тип не имеют ни малейшего отношения к метафоре, а представляют собой «всего лишь визуализацию» предметов. Нетрудно заметить, что между тремя указанными типами четкой границы не существует: один и тот же образ может совмещать черты всех трех типов. В данной работе к метафоре будет относиться только первый класс по классификации Джонсона и Лакоффа (независимо от присутствия в нем элементов второго и третьего) – таким образом, будет реализовываться наиболее классическое понимание термина, поскольку наличие структурных переносов по сходству доказано, а точное определение содержания термина «метафора» – скорее, вопрос номинации. Сведение третьего типа исключительно к визуализации является неправомерным сужением: необходимо учитывать четыре других сенсорных канала.
Эйдетическое восприятие и метафорика представляют собой явления хотя и тесно связанные, но совершенно разного плана: существуют метафоры, не поддающиеся визуализации, но элементы синестезии возможны во всех трех типах, которые выделили Джонсон и Лакофф; зрительные, слуховые, осязательные, обонятельные и тактильные образы могут мотивировать друг друга по принципу как сходства, так и смежности (contiguity). Узкое понимание метафоры позволяет представить ее как один из двух конститутивных элементов функционирования эйдетического мышления: метафоры и метонимии. Вместе с тем метафора может как поддаваться активации посредством внутреннего слуха, внутреннего зрения, etc., так и на чисто логических критериях сходства. Таким образом, неправомерно считать эйдетизм «частью метафоры» (или наоборот); метафора и эйдетизм очень часто непредставимы друг без друга, но в конечном счете представляют собой категории, находящиеся в неоднозначных отношениях: часто являясь конститутивными элементами друг друга, они сочетаются в разнообразных комбинациях. Переносы по смежности развивают синестетические мотивы на базе того же пространственно-временного «измерения», в котором находятся порождающие их объекты, в то время как переносы по сходству создают образы в ином психическом пространстве, нереальном относительно мотивирующей художественной реальности.
Ощущения того или иного операторного способа («Операторный способ – способ, посредством которого система воздействует, а именно то ощущение (зрение, слух и т. д.), через которое она воспринимается»[vi]) становятся художественно значимы только после переосмысления в рамках эстетической концепции создателя произведения. Именно поэтому крайне важную роль в процессе чтения играет способность человека воспринимать эйдетические образы текста. Обычный “визуализатор” составит внутреннее подобие экранизации – картины происходящих событий, в то время как человек, обладающий незаурядным внутренним зрением, отчетливо представит себе каждую метафору, бесчисленное множество отсеков пристыкуется к месту основного действия, так как построение литературного произведения совмещает различные операторные способы и по своей внутренней сущности не сводится к вербальному восприятию, хотя невербальное оказывается производным от словесного материала. В то же время, как отмечают в своей монографии Томпсоны, существует большое количество образов, «визуализация» которых либо вовсе невозможна, либо, проведенная без учета прочих особенностей текста, значительно искажает его истинное содержание. Но существует и иная позиция. “…почти все, что может быть представлено, может быть представлено чувственно[vii]”, – независимо от того, насколько верно данное высказывание в общетеоретическом плане, оно релевантно для шекспировской поэтики. Художественную логику отдельных образов часто нужно согласовывать с логикой более крупных семантических уровней произведения, конститутивными элементами которых они являются.
В данном исследовании под «читателем» будет пониматься не только, и даже не столько зритель/читатель, современник/житель последующих эпох, но отвлеченный, «идеальный» читатель, рецепиент произведения – в первую очередь, сам его автор, единственный истинный адресат произведения, субъект и объект автокоммуникации, детально рассмотренной Ю. М. Лотманом: «В системе “Я — Я” носитель информации остается тем же, но сообщение в процессе коммуникации переформулируется и приобретает новый смысл» [viii],[ix]. Безусловно, Шекспир мог и не осознавать особенностей строения синестетических образов созданных им произведений – в данном случае важно понимать глубину подсознательных процессов, характеризующих творчество художника, бережно относиться к тексту произведения и четко отделять субъективное читательское восприятие («апперцептивные импровизации») от непосредственно заложенных в партитуре текста образов. Конкретно-историческое понимание концепта читателя затрудняется проблемой сложности шекспировской метафорики, применяемых риторических приемов, как это убедительно показал Франк Кермоуд в работе “Язык Шекспира”[x]. Материал «Двенадцатой ночи» заставляет согласиться с данным подходом. Вступительный монолог Орсино и ответ Виолы на его слова в Пятой сцене Первого акта (см. разбор ниже) могли быть полностью представлены образно лишь немногими зрителями, а симультанное сознательное восприятие их структуры практически невозможно.
II. Синестезия в тексте «Двенадцатой ночи».
По мнению Дитера Меля, в ранних пьесах Шекспира «часто можно обнаружить прямое, буквальное соответствие между вербальными и сценическими образами, между риторикой и драматическим действием, <…> одинаково далекими от любой современной концепции реализма»; «складывается впечатление, что Шекспир, особенно в «Тите Андронике», пытался добиться чего-то очень похожего на свои повествовательные поэмы; он создает серию меняющихся картин, которые объясняются вербальной образностью сопровождающих речей»[xi] (термин «ранний» трактуется Мелем достаточно свободно и распространяется едва ли не до начала 1600-х гг.). Насколько верно утверждение, продекларированное в приведенном фрагменте? Анализ элементов синестезии в комедии «Двенадцатая ночь», во многом суммирующей основные тенденции раннего (в его широком понимании) творчества драматурга может служить одним из путей ответа на поставленный вопрос.
Наиболее характерные черты эйдетизма в комедии «Двенадцатая ночь» прямо эксплицируются в монологе Себастьяна, открывающем Третью Сцену Четвертого акта:
2. This is the air; that is the glorious sun;
This pearl she gave me, I do feel't and see't…
Взятые в отдельности от остального текста, данные строки не оригинальны с точки зрения образности, но именно они «теоретически» разъясняют понимание представленной в пьесе «культуры осязаемых мыслей» (выражение В. Набокова), и характеризуют ее с разнообразных сторон: в данных строках проявляется типичная для «Двенадцатой ночи» символика цвета, света, солнца и воздуха; они проливают свет на парадигму «чувственных» мотивов, использующихся в тексте комедии, представляя собой миниатюрную модель произведения; наиболее важная функция данного отрывка с точки зрения его конститутивной значимости – разъяснение самим автором внутренних принципов развития образности на протяжении текста произведения. Первые два аспекта будут более подробно рассмотрены в дальнейшем. Констатируя неожиданные и неясные для него события, Себастьян апеллирует к визуальному восприятию: несмотря на то, что фраза “I do feel't and see’t” характеризует подаренную герою жемчужину, она метонимически соотнесена с мотивами солнца и воздуха, зрительное восприятие которых для Себастьяна служит критерием реальности происходящего, поскольку те находятся в одном «эйдетическом измерении», существуют в рамках одного и того же визуального плана. Трехчленный зрительный мотив обусловливает высказывание “I do feel't and see’t”. Сложно однозначно определить, какое значение вкладывается автором в глагол «чувствовать». Скорее всего, он полисемантичен и выражает одновременно следующие смыслы: ментальное отношение к предмету и до конца не прописанный набор “senses”, в который, по всей видимости, не входит зрение, лексически и синтаксически противопоставленное «чувствованию». Возможно, здесь подразумевается тактильное восприятие жемчужины и солнечного тепла, передаваемого через воздух (быть может, попадающего и на подарок Себастьяна); читатель может усмотреть мотив запаха, передаваемого по воздуху. Четкая схема взаимодействия планов не выстраивается. При этом важно отметить то, что в данном отрывке не происходит выхода в другое «измерение», воображаемый пространственно-временной континуум, как это было в монологе Орсино, открывающем «Двенадцатую ночь»: в некоторой степени этому способствует метонимический характер генезиса данного образа. Какова бы ни была интерпретация, она будет неизбежно относиться к сфере косвенных ассоциаций, напрямую не порождаемых текстом. Само обобщение данных возможностей глаголом “to feel” свидетельствует об индуктивном осмыслении процесса порождения синестетических образов, представленных в комедии.
Фактически четыре строки, процитированные во вступительной части, представляют собою экспозицию «героев образности» произведения – шекспировских типов чувственного восприятия (не представлено только вкусовое). Нигде более в тексте «Двенадцатой ночи» не взаимодействует одновременно такое же количество «чувственных» планов. Только при первом ознакомлении с проблемой данное явление может показаться парадоксальным. В монологе сосредоточены основные модели синестетической мотивировки, характерные для всего произведения. Подобно дорогам, расходящимся от перекрестка, неповторимые структурные и конкретно-смысловые вариации приемов синестезии в начальных строках «Двенадцатой ночи» дополняют систему образов произведения.
3. O, when mine eyes did see Olivia first,
Methought she purged the air of pestilence!
(Act I, Scene I)
Данная синестезия в устах Герцога, практически непосредственно следующая за вступительным монологом Орсино, значительно проще по структуре: З→О (визуальный план, подчеркнутый упоминанием соответствующего органа чувств, порождает слуховой по метафорическому принципу, но после этого метонимически связывает новое «измерение» со зрительным образом посредством переноса фигуры возлюбленной Герцога, до некоторой степени разрушая самостоятельность новой поэтической реальности). В словах Орсино из Сцены IV Первого акта “I have unclasp'd// To thee the book even of my secret soul” тактильное ощущение не предусмотрено партитурой текста, не имеет самостоятельного эстетического значения и не играет роли в структуре произведения. Взаимодействие З↔Т в данном случае представляет собою лишь «квази-синестезию». Возможность ее возникновения обусловлена лексическим значением глагола. Далее такого рода примеры на уровне схем анализироваться будут редко.
4. With adorations, fertile tears,
With groans that thunder love, with sighs of fire.
(Act I, Scene V)
Отвечая на вопрос Оливии: “How does he love me? “, Виола характеризует состояние Орсино приведенными выше словами, представляющими следующую модель синестезии:
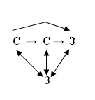
В этом образе Шекспир не следует парадигме, которая была заложена в монологе Орсино, открывающем «Двенадцатую ночь». Его структура еще менее линейна и выражается на схеме сложной фигурой, три из шести линий которой представлены парами векторов, направленных противоположно друг другу. Здесь также возможно выделение системы дискретных компонентов, мотивирующих друг друга, но связь их настолько тесна, что не возникает логической последовательности исходных и производных компонентов: строки фиксируют симультанно возникающую в сознании художника синестезию. При первом рассмотрении может показаться, что строение цепочки значительно проще: С→С→З (рыдания герцога метафорически сопоставляется со звуком грома, который метонимически порождает зрительный мотив молнии). Но это далеко не так: слезы Орсино (вкусовой мотив присутствует лишь косвенно) – деталь, которая, на первый взгляд, не относится к данной цепочке, – метафорически сопоставляются с дождевыми каплями, что становится ясно из возникающего далее образа грозы. Данный зрительный мотив соотносится метонимически с аудиальным (вздохи и слезы рисуют влюбленного Герцога) и одновременно мотивирует появление образов грома и молнии. Особую красоту данному образу придает дистантное расположение двух компонентов звукового мотива: “groans” и “sighs”. Таким образом, он распадается на два синтагматических элемента – две музыкальные вариации (прием создания «удвоений» (doublings), наиболее ярко проявившийся в тексте «Гамлета»[xii]), каждая из которых каузирует появление слухового и зрительного образа. Взаимообусловленные визуальные планы (вода и молния) расположены в одном и том же художественном пространстве и отделены от картины рыданий Герцога, связанной с ними переносом по сходству. Представленные мотивы распадаются на две группы, два психических пространства, характеризующих грозу и лицо несчастного поклонника Оливии, но расположение в тексте, апелляция к разным «чувственным» планам и сложная художественная логика взаимообусловленных конститутивных элементов делают невозможным единое графическое отображение участников антиномии. Многоуровневая схема переосмысляется посредством емкой художественной формулы, создающей новые, присущие лишь этим двум строкам законы инференции: слезы порождают дождевые капли, стоны – гром, а вздохи – грозовое пламя. Наличие метафоры дождя подтверждается аналогическим принципом, организующим данное перечисление. Достаточно четкое, почти конструктивистское разделение планов неожиданно меняется на тесное сплавление мотивов – но эта антиномия не имеет универсального характера, поскольку, с точки зрения структуры эйдетического образа, монолог Виолы только развивает те возможности многолинейного нанизывания и взаимной мотивировки «чувственных» планов, которые были использованы – хотя и в меньшем объеме – в начале комедии. Читатель имеет не привативную, а градуальную оппозицию.
Приведенный выше анализ, несмотря на многословность и формальность разбора, не противоречит живому читательскому восприятию. Одна из особенностей как синестезии, так и вообще художественного сознания заключается в способности передачи сложных семантических комплексов на малых отрезках текста. Один из наиболее ярких отрывков «Двенадцатой ночи» относится к этой же сцене и также принадлежит Виоле, но его строение несоизмеримо проще:
5. Make me a willow cabin at your gate,
And call upon my soul within the house;
Write loyal cantons of contemned love
And sing them loud even in the dead of night;
Halloo your name to the reverberate hals,
And make the babbling gossip of the air
Cry out 'Olivia!'…
(Act I, Scene V)
В данном случае выход в иное воображаемое пространство обусловлен сюжетной ситуацией, психологическим состоянием Виолы, а потому не относится к синестезии. Совмещение «чувственных» планов происходит внутри «нового измерения» по метонимическому принципу: С↔З. Как это видно из приведенного примера, художественная сила того или иного отрывка в литературе нередко сводится не к сущности приема, а к его конкретному смысловому наполнению в каждом отдельном случае. Простая структура, усиленная подробным описанием воображаемого пространственно-временного континуума и не-синестетической метафорикой (“And make the babbling gossip of the air// Cry out 'Olivia!'”), порождает один из наиболее запоминающихся образов комедии.
Синестезии первого акта, тесно связанные как с более крупными, так и с «параллельными» им формальными и семантическими уровнями произведения, неуместно рассматривать как закрытую систему, тем более что данный анализ не претендует на полный охват всех случаев проявления эйдетического восприятия в тексте комедии. Но именно в рассмотренных примерах проявляются определенные тенденции, которые будут важны при дальнейшем анализе шекспировской синестезии в ее связи с «эйдетическим пространством» и проблематикой «Двенадцатой ночи».
Антиномичная картина формируется при анализе синестезии во втором акте комедии. В первом и втором явлениях случаи синестезии имеют косвенный характер. Прозаические слова Себастьяна в первом явлении предполагают возможность осязательного образа, связанного со словом “утонула”, и визуального восприятия воды: «Она уже утонула, сударь, в соленых струях, хотя, кажется, я опять готов утопить в них ее воспоминание»[xiii]. Напрямую выражен только вкусовой план. В концовке второй сцены, произносимой Виолой, присутствует следующая «квази-синестезия»: “O Time, thou must untangle this, not I;//It is too hard a knot for me t' untie!” Зрительный образ имеет потенциальную возможность развития в тактильный, распадающийся на два антитетических эйдетических плана.
6. Alas, their love may be call'd appetite –
No motion of the liver, but the palate –
That suffer surfeit, cloyment, and revolt;
But mine is all as hungry as the sea,
And can digest as much.
(ActII, SceneIII)
В данном монологе Орсино тактильный (в широком смысле) образ «движения печени» противополагается второму осязательному мотиву «движения нёба», который буквализирует метафору, связанную со словом “appetite”, непосредственно предшествующим первому рассмотренному компоненту. Кольцевое расположение в тексте не позволяет говорить о линейном детерминизме данных элементов: они связаны отношениями взаимодействия. Синестетическое восприятие возникает благодаря антитезе второго осязательного плана и двучленного мотива моря, метонимически связанного с образами голода – тактильного в широком смысле (с возможными вкусовыми ощущениями) – и визуальной темой, косвенно порождающей в сознании читателя вкус соленой воды. Это противопоставление сближает водный мотив с участником предыдущей антитезы – «движением печени». Структура синестезии такова:
Ассоциация по контрасту релевантна для данного примера, но в обоих случаях она сводится к метонимическому переносу: объекты сравнения находятся в отношениях смежности на порожденной новыми законами инференции ценностной шкале, созданной на основании первичных метафор – отождествлений печени, неба и моря с определенными психологическими характеристиками. В данном случае развивается вторая парадигма синестетических мотивов в тексте комедии. В то же время структура синестезии прозрачна, форма лишь организует вербально-семантическое наполнение, но не предопределяет ни одну из его частей. Образ занимает промежуточное положение на оси градуальной оппозиции двух рассмотренных парадигм. Элементы его близости к первой из них тесно связаны с преобладанием линейной организации вербального материала, простотой противопоставлений – риторических фигур, не дробящих систему планов, но звучащих с нею в унисон. Следующие слова Марии, не отличающиеся художественной оригинальностью, содержат почти «случайную», очень простую по строению синестезию (Парадигма I): 7. «А ты лежи тут, потому что приближается форель, которую ловят щекоткой» (Act II, Scene V). Модель: З→Т (метонимия).
Таким образом, число синестезий в тексте II акта уменьшается в два раза, а количество «квази-синестезий» становится ему равным. Роль эйдетизма неожиданно уменьшается. Схожая картина наблюдается и в III действии. Велико число «квази-синестезий», построенных по модели З→Т: “… где вы и повиснете, как ледяная сосулька на бороде у голландца…” (III, 2, Фабиан); “This youth that you see here// I snatched one half out of the jaws of death” (III, 4, Антонио), “Хотя бы все дьяволы ада собрались в уменьшенном виде и сам Легион в него вселился, я с ним заговорю» (III, 4, Сэр Тоби). По той же модели (на метонимической основе) построена и настоящая синестезия: 8. «…если вы его вскроете и в печени у него окажется ровно столько крови, чтобы увязнуть блошиной лапке, я берусь съесть всю прочую анатомию» (III, 2, Сэр Тоби). Совершенно иная модель (метафора, буквализируясь, совмещает две метонимически соотнесенные эйдетические реальности и придает их отношениям черты синекдохи) реализуется в словах Эгьючийка, но ее содержание имеет сниженный колорит: 9. «Вот вызов, прочтите. Могу поручиться, что он с уксусом и перцем» (III, 4). Схема:
Обе модели принадлежат к структурно упрощенной парадигме I, написаны в прозе и имеет подчеркнуто комическую окраску, призванную показать интеллектуальную ограниченность Эгьючийка и Тоби.
Синестезия в Четвертом действии представлена мало. В начале Пятого действия автор возвращается к возвышенным синестетическим образам. В Первой и единственной сцене Орсино, реагируя на приход Антонио, характеризует друга Себастьяна следующим образом:
10. That face of his I do remember well;
Yet when I saw it last it was besmeared
As black as Vulcan in the smoke of war.
(Act V, Scene I)

Схема данного образа тяготеет к упрощенной парадигме I (два соотношения, появление которых каузируется путем переноса по сходству, а третье, которое возникает при альтернативном истолковании двусмысленного синтаксического оформления, – метонимически). При этом, если допустить то, что под «войной» подразумеваются события, произошедшие с Антонио, метафора детерминирует возникновение метонимии, размывающей самостоятельность двух эйдетических пространств. Сопоставление с образом хромого бога вносит существенные характеристики в эйдетический и психологический портрет героя. Модель:

Велика роль и«квази-синестезий»: “From the rude sea's enrag'd and foamy mouth// Did I redeem; a wreck past hope he was” (зрительный мотив косвенно порождает вкусовой, тактильный, обонятельный) (Антонио); “…I had a sister// Whom the blind waves and surges have devoured” (возможно появление образов аналогичных типов; лексическое значение слова“blind” детерминирует не-синестетический метафорический перенос З→З).
В последующих словах Орсино зрительное и тактильное восприятие связаны тесно, так что синестезия может быть рассмотрена как промежуточная между парадигмами I, II (З↔Т, метонимический перенос):
11. I'll sacrifice the lamb that I do love
To spite a raven's heart within a dove.
(Act V, Scene I)
Несмотря на высокую степень структурной прозрачности, следующая синестезия в устах Священника, в которой присутствует тесное метонимическое соединение мотивов и риторическое разложение тактильного компонента посредством дважды повторенного приема удвоения, превращающего две строки текста в таблицу, имеющую вертикальное и горизонтальное членение, принадлежит парадигме II:
12. Confirmed by mutual joinder of your hands,
Attested by the holy close of lips…
(Act V, Scene III)
Схема: З↔Т. Аналогичная модель, также использующая прием удвоения, но реализующаяся в прозе, в комическом регистре, представлена в словах Эгьючийка: 13. «Он проломил мне голову, да и сэру Тоби башку размозжил».
Начиная со Второго действия, резко возрастает число косвенных синестезий, появляется все больше «случайных» элементов – границы стройной системы, представленной в Первом акте, стремительно размываются. Эта ситуация детерминирована, как уже говорилось выше, законами, имманентно присущими системе синестезий данного произведения. Но есть и другие причины, тесно связанные с проблематикой пьесы. В тексте «Двенадцатой ночи» выражено присущее драматургии Шекспира «подводное течение» (semantic subplot [xiv]), открытая система образов, действующая автономно от сюжетно-психологического уровня и находящаяся в непосредственном взаимодействии с проблематикой произведения. Свобода этого «течения», начинающегося в узком русле Первого акта и ветвящегося по дельте последующих действий, предопределяет импровизационный характер произведения, связанный с его семантическими лейтмотивами: идеей хаотичности перемен, приводящих к непрерывной цепочке «положений», но при этом успешно поддающихся личностному воздействию оригинальных и деятельных персонажей – Виолы и Орсино (духовная активность последнего выражается не столько на сюжетном уровне, сколько в непрерывности и глубине его рефлексии). Спонтанный, почти игровой характер шекспировской образности в тексте комедии неоднократно подчеркивался исследователями. «Все они [образы жидкостей] – потоки, омывающие мир пьесы, циркулирующие среди возможностей для изменений, как четыре жидкости – в человеческом теле»[xv]. «В «Двенадцатой ночи» бесконечно смещающиеся перспективы, замещающие сюжет, <…> являются формой импровизированного рассуждения”[xvi]. В чем же проявляется смена перспектив на уровне эйдетизма и синестезии? Преобладание метонимии в рассмотренных примерах II– V актов тесно связано с усиливающейся ролью прозаических фрагментов. Антиномия метафоры и переноса по смежности семантизируется автором: она выражает столкновение наиболее оригинальных персонажей – Виолы и Орсино (авторов наиболее ярких синестетических образов) – с разнообразными обстоятельствами, которые оказываются бессильны помешать их браку, последовавшему в конце произведения. Возрастание числа тактильных компонентов объясняется на сюжетно-психологическом уровне, поскольку носители принципов, нашедших отражение в синестезиях Первого действия, сталкиваются с препятствиями (любовь Герцога к Оливии, мужской наряд Виолы, «схватка» с Тоби), мешающими Орсино и Виоле осознать их духовную близость. Вместе с этим не следует переоценивать роль речевой характеристики в данной комедии, как и во всем творчестве Шекспира: каждый персонаж произведения до некоторой степени является рупором воображения автора. В этом состоит важная особенность поэтики Шекспира: речевая характеристика присутствует лишь косвенно; каждый «голос» не столько говорит о себе, сколько становится частью монологической по своей сути вербально-эйдетической симфонии. Поэтому даже «прозаический» персонаж – Сэр Тоби – оказывается способным создать оригинальную синестезию (пример 8), свидетельствующую о глубоко развитом внутреннем зрении. Данный пример показывает правоту высказывания Дитера Меля: “удаленные от любой современной концепции реализма”.
Образы «скоростных» явлений («сладкого звука», «дышащего ветра», света) оказываются определяющими эйдетическими мотивами комедии, создающими ощущение бесконечности простора. Световая стихия, как неоднократно отмечалось, характеризует большинство ранних произведений Шекспира; даже внутреннее пространство «Ромео и Джульетты», пронизанное полумраком, часто освещается вспышками. Но именно для комедийного жанра в произведениях Шекспира характерно создание ощущения пространственно-психической бесконечности, многократности отражений, фотонов, проникающих в ячейки новых эйдетических реальностей. Светом, ощущением легкости, невесомости, мнимости, противостоящим «земным» тактильным образам, пронизаны и Действия II– V: примером этого служат разобранные строки из монолога Себастьяна. Устойчивая коннотация чумы и черного цвета заслоняет обонятельную ассоциацию в примере 3 и создает ощущение симультанной световой вспышки. Поэтому уже не кажется случайным то, что в наиболее «синестетичном» (согласно альтернативному пониманию термина) вступительном монологе Орсино автором не прописано тактильное ощущение (как и в других примерах из Первого действия: 3, 4, 5). В тексте «Двенадцатой ночи» осязательные образы проигрывают конфликт «семантического подсюжета» и служат подтверждению гармонического исхода событий, что проявляется в монологе Священника, где они теряют анатомический характер, сливаются с наиболее сложной Парадигмой II. Художественная реальность комедии находит выражение в импровизированном характере действия, ощущении «реального времени (вторая особенность комедийного жанра). Как соотнести эти выводы со словами Дитера Меля, процитированными в начале главы? Их можно разделить на несколько тезисов: 1. «прямое, буквальное соответствие между вербальными и сценическими образами»; 2. «что-то очень похожее на его [Шекспира] повествовательные поэмы»; 3. «меняющиеся картины, которые объясняются вербальной образностью сопровождающих речей». Материал синестезии «Двенадцатой ночи» не позволяет полностью согласиться ни с одним из заявленных положений. Введенная антиномия основного «эйдетического пространства» и частных реальностей, порождаемых метафорами в устах героев, позволяет говорить о том, что образы монологов не соответствуют сценическому действию, хотя и взаимодействуют с ним; их дедукция из мира персонажей произведения невозможна; они придают буквам текста подлинную многомерность, оказываясь подобием «духовной» координатной оси, выделенной Б. В. Раушенбахом по аналогии с концепцией четырехмерного пространства Г. Минковского[xvii]. Безусловно, можно говорить об определенной близости шекспировских поэм его комедийным произведениям (в пользу этого свидетельствует и особое функциональное использование «светописи»); данная тема заслуживает отдельного исследования. Но сразу обращает на себя внимание принципиальное отличие жанров: драматическое действие «скрадывает» детали основного «эйдетического пространства», сжимая их до ремарок и отдельных упоминаний персонажами. Лиро-эпическая нарративная поэма, напротив, требует более активного их присутствия в тексте, взаимодействия с сюжетным планом. «Меняющиеся картины», под которыми исследователь подразумевал сценические образы (об этом свидетельствуют тематика статьи и приведенная цитата), как уже говорилось, существуют параллельно метафорике и объясняются ею далеко не всегда.
Библиография:
1. Shakespeare W. Twelfth Night, or What You Will // Shakespeare W. Complete works: 8 vol. - N.Y. - L., s.a. - Vol. I.
2. Шекспир В. Двенадцатая ночь / Пер. М. Лозинского. - М., 1953.
3. Лотман Ю.М. Автокоммуникация: “Я” и “Другой” как адресаты (О двух моделях коммуникации в системе культуры)// Семиосфера. СПб., 2000.
4. Раушенбах Б.В. Четырехмерное пространство // Пристрастие. М., 1997.
5. Паси, Исаак. Метафората. София, 1983.
6. Benveniste, E. Sémiologie de la langue // Problèmes de linguistique générale. T.II. Ch.III. P., 1974.
7. Cytowic, Richard. Synesthesia: A Union of the Senses. NY, 1989.
8. Hollander, John. “Twelfth Night” and the Morality of Indulgence // Twentieth Century Interpretations of Twelfth Night / Ed. by Walter N. King. Englewood Cliffs (NJ), 1968.
9. Kermode, Frank. Shakespeare’s Language. L., 2000.
10. King, Walter N. Introduction // Twentieth Century Interpretations of Twelfth Night / Ed. by Walter N. King. Englewood Cliffs (NJ), 1968.
11. Mehl, Dieter. Visual and Rhetorical Imagery in Shakespeare's Plays // Essays and Studies: In Honour of Beatrice White. Vol. 25. L., 1972.
12. Nuttall, A.D. Two Concepts of Allegory. A Study of Shakespeare's The Tempest and the Logic of Allegorical Expression. L., 1967.
13. Spurgeon, Caroline F.E. Shakespeare's Imagery and what it tells us. L., 1935.
14. Thompson, Ann. Thompson, John O. Shakespeare: Meaning and Metaphor. Iowa City, 1987.
[i] Spurgeon, Caroline F.E. Shakespeare's Imagery and what it tells us. L., 1935.
[ii] Thompson, Ann. Thompson, John O. Shakespeare: Meaning and Metaphor. Iowa City, 1987.
[iii] Mehl, Dieter. Visual and Rhetorical Imagery in Shakespeare's Plays // Essays and Studies: In Honour of Beatrice White. Vol. 25. L., 1972.
* Безусловно, приведенный список не является исчерпывающим.
[iv] Cytowic, Richard. Synesthesia: A Union of the Senses. NY, 1989.
* Синестетическое по своей сути взаимодействие «внутреннего пространства» пьесы и звучания монологов героев не рассматривается в данной работе.
* Зд. и далее – цифра обозначает номер цитаты-примера.
* Понятие «стершейся метафоры» не предполагает здесь диахронического аспекта; речь идет о вневременной (не диахронической и не синхронической) принадлежности метафоры системе языка или системе авторского идиолекта. Независимо от частоты использования, в первом случае метафора вне актуализирующего контекста не может быть частью оригинального авторского замысла.
[v] Thompson Ann, Thompson John O. Shakespeare…P. 16 – 20.
[vi] Benveniste, E. Sémiologie de la langue // Problèmes de linguistique générale. T.II. Ch.III. P., 1974.
[vii] Nuttall, A.D. Two Concepts of Allegory. A Study of Shakespeare's The Tempest and the Logic of Allegorical Expression. L., 1967.P.88.
[viii] Лотман Ю.М. Автокоммуникация: “Я” и “Другой” как адресаты (О двух моделях коммуникации в системе культуры) // Семиосфера. СПб., 2000.
[ix] Подобные идеи высказывались неоднократно: «…творение, направленное на я, на создающее и воспринимающее метафоры сознание…» (Паси, Исаак. Метафората. София, 1983).
[x] Kermode, Frank. Shakespeare’s Language. L., 2000.
[xi] Mehl, Dieter. Visual and Rhetorical Imagery… P.92-93.
[xii] Kermode, Frank. Shakespeare’s Language. P. 15.
[xiii] Прозаические цитаты в русском переводе М. Лозинского с указанием соотв.стр. в скобках здесь и далее цит. по изд.: Шекспир В. Двенадцатая ночь / Пер. М. Лозинского. - М., 1953.
[xiv] Термин Франка Кермоуда, см.: “Shakespeare’sLanguage”, - P. 220.
[xv] Hollander, John. “Twelfth Night” and the Morality of Indulgence // Twentieth Century Interpretations of Twelfth Night / Ed. by Walter N. King. Englewood Cliffs (NJ), 1968.
[xvi] King, Walter N. Introduction // Twentieth Century Interpretations of Twelfth Night / Ed. by Walter N. King. Englewood Cliffs (NJ), 1968.
[xvii] Раушенбах Б.В. Четырехмерное пространство // Пристрастие. М., 1997.
Необходимо зарегистрироваться, чтобы иметь возможность оставлять комментарии и подписываться на материалы
