/публикуется впервые/

В самом начале своей монографии
Психоделическая теория информации1 Джеймс Кент проясняет собственную позицию по поводу некоторых, центральных для его исследования, понятий: “
Психоделическая теория информации не пытается предоставить точные определения таких понятий, как сознание, восприятие, или психоделическое состояние. Вместо этого, она стремится смоделировать некую аппроксимацию психоделического сознания, построенную на известных функциях и пределах человеческого восприятия и когнитивной способности.” В этом отношении его подходы очень близки к нашим собственным: больше всего мы не хотим заниматься спекуляциями, столь привычными сегодня в академическом мире гуманитарных наук. Не хотим заниматься ими – по той причине, что психоделика представляет собой
реальный феномен, и ей не нужны подпорки и костыли в виде ненужных и надуманных терминов и определений. Я полагаю, что любая сложная теория или система взглядов должна быть по возможности разгружена и спрямлена (being streamlined), избавлена от всех необязательных и малосущественных элементов.
Вероятно, здесь следовало бы повторить один немаловажный тезис, на котором я подробно останавливался в своём
Введении в теорию психоделики:
2 при построении концепций этой теории я стараюсь как можно чаще пользоваться бритвой Оккама и без необходимости не умножать сущности, – иными словами, не вводить избыточных терминов, понятий и классификаций. Именно поэтому я не берусь рассуждать о том, какой именно бывает энергия, присутствующая в тексте; – можно ли разделить её, скажем, на условные классы или типы – в зависимости от того, в каких текстах она присутствует или какие ощущения вызывает у читателя. Примерно таким же образом я не берусь судить и о
пси-эффекте: какие его разновидности или типы можно выделить, каким именно образом (и куда) он изменяет состояние сознания, и т.д. Дело в том, что в теории психоделики, как и в любой другой теории, различных классификаций можно придумать множество. Но вопрос заключается в том – будут ли они прояснять сущность предмета, или же будут сам предмет (и без того крайне непростой) ещё более усложнять? Не станут ли в последнем случае читатели (а вместе с ними – и мы, теоретики и исследователи вопроса) рабами этих классификаций, способных оказаться, с высокой степенью вероятности, надуманными и искусственными, а вовсе не отражающими истинную природу вещей?..
Задача, с которой мы сталкиваемся, вводя классификации, отнюдь не является пешеходной, и излишняя её тривиализация зачастую оказывается крайне опасной. Чтобы проиллюстрировать её, рассмотрим хорошо всем знакомое колесо. Если мы, изучая колесо, вначале зададимся вопросом – какими бывают колёса, на какие типы делятся, как их возможно классифицировать, – то сразу становимся заложниками неких систем взглядов, основанных на самых различных принципах. Одной из классификаций могла бы стать функциональность колёс с точки зрения реализации передачи крутящего момента, и мы бы углубились в рассмотрение шкивов ременных передач, зубчатых колёс редукторов, катков фрикционных передач, и т.д. Можно было бы задать классификацию колёс особенностями их формы, и тогда мы потерялись бы в барабанах, кривошипах, валах, червячных колёсах... Наконец, можно было бы привязать классификацию к виду тех машин, в которых сами колёса используются, и в этом случае мы бы исследовали часовые шестерни, колёса подвижного железнодорожного состава, роторы электродвигателей, автомобильные колёса, турбины... Но если мы берёмся рассматривать колесо с точки зрения классической механики, то должны прежде всего вспомнить, что оно представляет собой геометрическое тело, имеющее форму круга, функциональным назначением которого является вращение вокруг оси, либо вокруг мгновенного центра скоростей, т.е. точки, скорость которой в данный момент времени равна нулю, – и все наши дальнейшие теоретические исследования колеса и принципов его работы должны базироваться на этом общем определении, а не на тех классификациях, к которым мы могли бы привязать себя.
Дело в том, что неправильные в методологическом отношении или излишние (избыточные) классификации не расширяют семантическое поле исследуемого предмета, а лишь дробят его. Злоупотребление привязанностью к классификациям разного рода не раз приводило к появлению застойных явлений в истории развития различных наук, поэтому в таких вопросах следует быть крайне осторожными. По этой причине, стремясь развивать дальше теорию психоделики, мы стараемся обходиться лишь самыми общими классификациями, – чтобы не нарушать естественности в понимании предмета и, таким образом, косвенно не создавать препятствия к его дальнейшему развитию.
1. Эффект сомелье
Попробуем представить себе сомелье, который на аукционе выгодно приобрёл большой контейнер с бутылками вина, изъятыми сотрудниками Интерпола у контрабандистов. Сомелье очень доволен приобретением, но его проблема заключается в том, что контрабандисты, в целях безопасности переправки через границу, посдирали с бутылок все этикетки. При этом известно, что среди содержимого контейнера находится несколько поистине бесценных бутылок Château Lafite; однако и другие красные вина, находящиеся в контейнере, тоже весьма хороши, хотя и происходят от других, менее известных, производителей.
Вопрос состоит в том – какой подход следует избрать сомелье? Каким образом ему устанавливать, в каких бутылках что содержится? Полагаться ли целиком на собственный вкус – в надежде, что тот не подведёт? Или перетасовать все бутылки – и предлагать их в случайном порядке, объясняя посетителям, что кому-то из них может невероятно повезти? Наш сомелье решает эту проблему иначе: он, откупорив каждую из бутылок, отбирает немного вина и, разлив его в маленькие рюмки, преподносит в качестве комплимента нескольким из своих постоянных клиентов, о которых ему известно, что они регулярно заказывают хорошие вина и высоко ценят тонкость и сложность их букета. При этом сомелье вообще никому ничего не объясняет, а делает это в виде особого жеста гостеприимства – в отношении завсегдатаев ресторана. И лишь после того, как эти понимающие толк в винах специалисты выразили свой восторг по поводу презентованного им образца, он продаёт оставшийся в бутылке Шато Лафит – по астрономической цене – тем посетителям, которые горят желанием его попробовать.
Нечто подобное мы проделываем при выяснении – психоделичен ли тот или иной текст, или нет. Многим читателям сложно понять – каким образом, с высокой степенью достоверности, можно установить – психоделичен ли стих, если восприятие пси-эффекта, как уже много раз постулировалось нами, остаётся всегда субъективным? Ответ весьма прост: тестировать текст необходимо, во-первых, на тех, кто входит в его целевую аудиторию (а идентифицировать тех, кто в неё входит, – для разбирающегося в литературе специалиста – сделать не сложно); а во-вторых, эти люди должны понимать толк в психоделике, – другими словами, они должны быть способны ощущать пси-эффекты при прочтении различных типов психоделических текстов. Таких людей сегодня достаточно много среди моих друзей и приятелей, увлекающихся поэзией, но их можно находить и среди тех, кто большого интереса к литературе не демонстрирует. В этом нет ничего странного: способностью остро ощущать психоделику (а она связана с умением воспринимать тексты, "пропуская их через себя", а не просто сканируя "в режиме автопилота") могут обладать и люди, чтением серьёзно не увлекающиеся, – подобно тому, как сильно чувствительным к букету вина нёбом могут обладать и люди, в принципе не разбирающиеся в винах.
Я много раз повторял, что совершенно не чувствительных к психоделике читателей мало; их не более 5-10% от всей читательской аудитории, и в данном случае моё заявление основывается на длительном личном опыте (а также опыте моих близких друзей) наблюдения за реакциями читателей, количество которых измеряется многими сотнями и даже тысячами. С другой стороны, количество сильно чувствительных к психоделике читателей (т.е. таких, которые способны воспринимать почти любые её типы) ограничивается приблизительно 20-25%. А это означает, что остальные 70% читателей имеют выраженную чувствительность к одним типам пси-эффекта, но мало чувствительны к другим типам. Поэтому, всегда важно правильно установить рамки целевой аудитории для конкретного текста, и уже затем проводить оценку его психоделичности, – мало доверяя данным, полученным при изучении реакции на текст случайной аудитории.
2. Энергетика текста
Многим читателям может показаться любопытным тот факт, что подавляющим большинством профессиональных филологов эта характеристика текста тщательно избегается, и даже упоминание о ней в научных работах считается недопустимым. Почему? – На этот вопрос легко ответить: ибо принято думать, что энергетика относится к разряду наиболее спекулятивных и псевдонаучных терминов, особенно излюбленных некоторыми литературными критиками и журналистами (в т.ч. и тележурналистами), на чьи слабо аргументированные мнения, провокационные статьи и передачи не принято ссылаться в академических кругах.
Безусловно, очень сложно поспорить с тем мнением, что понятием энергетики рутинно злоупотребляют, а точнее – используют его необоснованно, зачастую просто неверно. Энергетику постоянно путают с эмоциональностью, с патетичностью, с высокой гражданственностью, с истеричностью, наконец, с религиозным пафосом. Более того, эмоциональную окраску текста многие горе-аналитики, подвизавшиеся на нивах литературы, трактуют в терминах энергетики: "весёлые стихи – значит, положительная энергетика; печальные – значит, отрицательная". К сожалению, приходится подчеркнуть, что подобные взгляды демонстрируют не просто предельно примитивное понимание теми, кто их высказывает, неких существенных (и даже фундаментальных) принципов построения художественных текстов; гораздо хуже то, что такие взгляды дискредитируют саму терминологию, которой пользуются их носители.
И несмотря на всё сказанное выше, нам представляется совершенно необходимым вернуть понятие энергетики текста в русло научности, примирить с ним теорию литературы. А для этого следует очистить это понятие от всего наносного и надуманного, сделать его независимым от системы эстетических и этических координат, относительно которой текст оценивается или рассматривается. Энергетика – это не сосуд, в котором текст доставляется читателю или критику; напротив, сосуд – это художественный текст, а вот преподносится ли в этом сосуде вода или крепкий алкогольный напиток – как раз и будет определяться собственной энергетикой текста. Напитки могут быть самыми разными на вкус, но в конечном итоге важен не вкус, а содержание алкоголя. Джин, виски, коньяк, водка, ром, текила... Кому-то нравится одно, кому-то – другое, некоторым – вообще безразлично, что пить, лишь бы покрепче. Но – вне зависимости от вкуса пьющего – можно утверждать, что крепкие напитки несут в себе заряд определённой энергии, которую наш организм способен самостоятельно усваивать, а наше сознание – отслеживать. Если продолжить наш мысленный эксперимент, заменив крепкие напитки на слабые, – скажем, на вина или фруктовые соки, – то опять найдутся любители и нелюбители тех или иных вкусовых сочетаний, однако любой пьющий сразу заметит, что количество энергии, получаемой его организмом от потребления аналогичных объёмов слабых напитков, существенно ниже, чем от крепких.
Нечто подобное происходит и при чтении художественных текстов. Если отвлечься от их вкуса (оцениваемого в терминах соответствия или несоответствия нашим персональным эстетическим и этическим аксиологическим шкалам) и стараться отслеживать исключительно их воздействие на наше восприятие, то мы заметим, что некоторые тексты – помимо нашего желания – начинают нас "утаскивать" (или "подхватывать", как поток воды, или "потряхивать", как слабые разряды электричества), облегчая нам их восприятие, без нашего осознанного или выраженного намерения входя с нами в зацепление, самопроизвольно "прилегая" к нам таким образом, как если бы они были скроены индивидуально для нас. Вот это и есть проявления энергетики текста, только нужно понимать, что сам процесс восприятия этой энергетики – интерактивный, а потому невозможно рассматривать его в отрыве от воспринимающего текст читателя. Ничего лженаучного и в этой концепции нет; достаточно вспомнить о фармакологии, фармацевтических формулах и физиологически-активных препаратах. Когда мы говорим о сильном антигистаминном препарате или о сильном седативном средстве, мы ведь не подразумеваем, что сила этих препаратов будет рассматриваться кем-то безотносительно фармакокинетики их введения, – и вообще, вне связи с пациентом, их принимающим, не правда ли? Все понятия существуют лишь в рамках определённого контекста, вне которых они теряют всякий смысл, и если мы выскажемся в том духе, что кофеин – сильный энергетик, а потому напитки, содержащие его в заметных концентрациях, не следует употреблять непосредственно перед сном, то едва ли кому-нибудь придёт в голову – спрашивать, можно ли использовать кофеин в качестве высокоэнергетического топлива для реакторов атомных электростанций.
Энергетика стихотворения – объективная характеристика текста (а точнее – процесса взаимодействия текста с читателем); она не зависит от системы взглядов, в рамках которой текст написан, от веры и убеждений автора, от эстетических координат, относительно которых поэтический текст может рассматриваться, от эмоционально-интеллектуального модуса читателя. По большому счёту, можно сказать, что сама суть стихов – это та энергия, которой они обладают, – энергия, поданная нам в эстетически приемлемой (для нас) форме. Можно найти множество черт и характеристик, которые делают стихи элегантными и приятными для чтения, но энергетика к этим чертам не имеет никакого отношения.
Одной из характерных особенностей стихотворений с высоким энергетическим потенциалом является их искренность; в таких текстах личное мировосприятие автора проявляется максимально ярко. Малейшая толика притворства, неискренности, нарочитости – моментально приводит к тому, что энергетика текста падает практически до нуля. Интеллектуально развитым и эмоционально подвижным читателем подобная неискренность в тексте считывается, как правило, очень легко и однозначно.
Отчасти, это приводит к тому, что всё большей популярностью начинают пользоваться стихи иронические и самоироничные (стёбные), поскольку в них позиция автора представлена утрированно-легкомысленной, ненарочитой, – и это позволяет таким текстам быть воспринимаемыми взыскательным читателем без отторжения. Разумеется, далеко не все стёбные тексты несут в себе заметную энергетику; можно предположить, что в среднем частотность обнаружения текстов с высокой энергетикой среди произведений стёбного характера будет примерно той же, что и среди всех остальных произведений. Но в целом – можно согласиться с тем тезисом, что стёбные (или отчасти стёбные) тексты проще наполнять энергией, чем тексты серьёзные.
Постараемся внести ясность: энергетический потенциал текста – это способность текста взаимодействовать с читателем таким образом, чтобы задействовались глубокие механизмы восприятия, дающие читателю ощущение энергетической связанности с произведением или с его отдельными частями. Самым интересным здесь оказывается тот факт, что такая взаимная "связанность" между читателем и текстом имеет выраженную полярность, которая проявляется в следующем: читатель либо накапливает энергию от взаимодействия с текстом, либо расходует её в результате такого взаимодействия; и в последнем случае потерянная энергия оставляет у него ощущение опустошённости. Выражая то же самое несколько более метафорическим языком (при всём том, достаточно точно передающим субъективные ощущения читателя), можно сказать, что "энергетические" тексты либо наполняют читателя "силой", либо выпускают эту "силу" из него, заполняя его "слабостью".
В нашей интерпретации, энергетический потенциал текста имеет знак – "плюс" или "минус", и в зависимости от этого меняется полярность связи в диполе «текст–читатель». При положительной энергетике текста эта связь (можно было бы назвать её "вектором потока энергии") направлена от текста к читателю, при отрицательной – от читателя к тексту. В произведениях, не обладающих заметной энергетикой, такая связь амбивалентна (либо, попросту говоря, очень слаба).
Энергетика текста – понятие сложное, – как само по себе, так и по той причине, что привязывается одновременно к двум разнородным системам: временной и собственно-текстуальной. Временная система связана с тем обстоятельством, что энергетика любого текста воздействует на читателя во времени; она не предполагает мгновенной передачи или мгновенного развития импульса, – поэтому при её рассмотрении приходится учитывать и динамику развития энергетических структур самого текста, и общий для них всех лаг, определяющийся интерфейсом "текст–читатель".
Текстуальная система энергетики текста привязана к тем энергетическим структурам, которые, наподобие митохондрий в клетках растений, способны производить энергию, а мы (читатели) способны воспринимать эту энергию
вне эмоционально или эстетически обусловленной системы формирования личных мнений и контролируемых ею триггеров сигналов приятия/неприятия. В случае психоделики – это те самые экспрессии и трансфиксии, которые мы подробно рассматривали в предыдущих работах.
2,3 В своей книге
Вселенная в ореховой скорлупе4 Стивен Хокинг пишет: “
Все известные частицы во вселенной принадлежат к одной из двух групп: фермионам или бозонам. Фермионы являются частицами с полуцелым спином (таким, как ½), и они образуют обычное вещество. Их энергии основного состояния отрицательны. Бозоны представляют собой частицы с целым спином (как то: 0, 1, 2), и они обусловливают силы, действующие между фермионами, такие, как сила гравитации и свет. Их энергии основного состояния положительны. Теория супергравитации предполагает, что у каждого фермиона и у каждого бозона имеется суперпартнёр [некая частица], обладающий спином либо на ½ большим, либо на ½ меньшим, чем его собственный. ... Таким образом, в схеме супергравитации мы имеем равенство количества бозонов и фермионов.” (пер. ЧГ)
По аналогии с приведённым пассажем о фермионах и бозонах, из которых состоит всё известное науке вещество, теория психоделики постулирует, что в энергетической схеме любого текста присутствуют только две группы структур: экспрессии и трансфиксии. При этом, всё последующее многообразие возникающих в произведениях энергетических эффектов, которые способны регистрироваться читателем, исходит из комбинации (включая наложение, сложение, juxtaposition, и т.д.) именно этих двух структур. В отличие от теории супергравитации, постулирующей равенство количества фермионов и бозонов, теория психоделики не лимитирует себя введением подобных труднодоказуемых исходных предположений; вместо этого она предлагает следующий королларий:
энергетические текстовые структуры, не состоящие из экспрессий и/или трансфиксий, невозможны. Таким образом, приняв, что реализация любого энергетического механизма в произвольном тексте осуществляется посредством задействования экспрессий и трансфиксий, исследователь переходит на новый уровень понимания самой сущности энергетического взаимодействия текста с читателем, – особенно, учитывая тот факт, что мы уже успели довольно подробно изучить и описать как экспресси, так и трансфиксии – в отношении их свойств, характеристик и функциональных особенностей.
2,3
Сложность понимания самого понятия "энергетики текста", в частности – филологами, заключается в относительной "расплывчатости", субъективности, которые в него привносятся. Во-первых, энергетика текста – это характеристика, которая проявляется ТОЛЬКО при взаимодействии текста с читателем, но обусловлена она именно текстуальными (а не какими-то иными) элементами или структурными образованиями. Во-вторых, с точки зрения собственно-текста, энергетика его зависит, с одной стороны, от его микроструктуры, – то есть, от элементов низкого уровня, которые работают в самосогласованном режиме, а с другой стороны – от экспрессий и трансфиксий, которые существуют на уровне мезоархитектоники организации текста.
2,3,5 Но для правильного понимания того, как это всё осуществляется, необходимо помнить, что эти "элементарные модули" (или элементы низкого уровня) входят в состав тех самых принципиальных конструкций мезоархитектоники, – иначе говоря, экспрессий и трансфиксий.
3. Мысленный эксперимент с психоделическими
текстами, кексами, тестами и кексовым тестом
Чтобы лучше себе представить, как работает всё то, о чём мы говорили выше, вообразим небольшой кекс, который будет служить нам метафорой для психоделического текста. Предположим, что тесто в нём не особенно пикантное, – просто обычное сдобное тесто. Однако, в состав кекса входят очень вкусные курага и цукаты. Именно они делают кекс запоминающимся, деликатесным. Если мы кусочки кураги сделаем аналогией для трансфиксий, а цукаты – для экспрессий, содержащихся в тексте (в кексе), то получим примерную схему того, как работает в нём психоделика: без кураги и цукатов нет необходимого вкусового эффекта, который возникает при поедании (или при прочтении). И в этом очень легко убедиться: достаточно повыковыривать из теста (из текста) курагу и цукаты – и вкус кекса перестаёт быть интригующим. Иными словами, без экспрессий и трансфиксий психоделика невозможна.
Но вспомним теперь об элементах низкого уровня. В случае с кексом, такими элементами могут быть кристаллики сахара, которые присутствуют – и в сдобном тесте, и в самих цукатах или кураге. При этом важно понимать, что – ни цукаты, ни курага – без этих кристалликов сахара существовать не могут. Но когда мы воспринимаем их вкусовой букет, то не только (и не столько) сладость микрокристаллов сахара является определяющим фактором, хотя без сахара их вкус был бы принципиально иным (и, вероятно, перестал бы нами регистрироваться, как "приятный"). Такова картина с сахаром (элементами низкого уровня) и цукатами или курагой (элементами мезоархитектоники), – влияние которых на формирование психоделического текста невозможно рассматривать в отрыве друг от друга.
Если мы попробуем поставить мысленный эксперимент: протестируем – на что будет похож наш кекс, если удалить из него весь сахар, – то очень легко убедимся, что он перестанет быть вкусным, хотя съедобным быть не перестанет. Характерно, что при этом цукаты перестанут быть цукатами, а курага – курагой; ведь невозможно себе представить их несладкими. Проведём другой тест: представим себе, что у нас есть сладкий кекс, в котором не содержится – ни кураги, ни цукатов. Захочется ли нам съесть его с чаем? Запомнится ли нам его вкус? Вызовет ли он к жизни какие-то особые ощущения? – Едва ли. Вот мы и доказали себе, что текст без экспрессий и трансфиксий не может остаться психоделическим – даже если элементы низкого уровня (сахарные кристаллики) в нём продолжают "работать".
Наконец, если сладких цукатов и кураги в кексе много, то само тесто кекса может быть вообще не сладким, – и от этого его вкус очень мало изменится. Подобным образом, наличие или отсутствие в тексте элементов низкого уровня, которые не входили бы в состав – ни экспрессий, ни трансфиксий, – практически не может повлиять на формирование пси-эффекта, вызываемого этим текстом.
При этом нужно понимать, что модули низкого уровня могут включать в себя элементы, принадлежащие одновременно разным конструкциям более высокого уровня, например, какое-то отдельное слово, словосочетание или группа слов может входить – одновременно – и в одну, и в другую речевые фигуры, либо служить – одновременно – частью разных стилистических оборотов или приёмов. Соответственно этому принципу, отдельные элементы низкого уровня могут, одновременно, входить в состав – и экспрессии, и трансфиксии, – и это ни в коей мере не будет противоречить концепциям теории психоделики.
Если мы захотим выразить только что сделанные нами обобщения математически, то уравнение для пси-эффекта в каждый текущий момент времени, в общей форме, будет иметь следующий вид:
Ψ = χ f(E,T) = χ φ(λn) (1)
где n ≥ 1; E и T обозначают, соответственно, экспрессии и трансфиксии; λ – текстовые элементы (модули) низкого уровня; f и φ – некоторые функции; а χ – переменную, не зависящую от мезо- и микроархитектоники текста. Показатель степени n указывает на то, что низкие элементы работают в самосогласованном режиме, производя кумулятивный эффект, а иногда – даже каскадный (лавинообразный) эффект; в последнем случае показатель степени n становится заметно выше единицы.
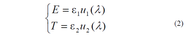
Но учитывая, что экспрессии и трансфиксии не возникают сами по себе, а образованы всё теми же элементами низкого уровня, принадлежащими к микроархитектонике текста, имеем ещё следующую систему уравнений:
где u1 и u2 – функции, связывающие, соответственно, экспрессию и трансфиксию с элементами низкого уровня текста; а ε1 и ε2 – некоторые коэффициенты, не зависящие от микроархитектоники произведения.
Мы приводим эти формулы не для того, чтобы читатель немедленно принимался за расчёты, но лишь с той целью, чтобы у него создавалось более конкретное представление о том, какие параметры и каким образом влияют на ту или иную характеристику. В интегральной форме уравнения, приведенной нами в предыдущей работе,3 не было наглядно показано непосредственное влияние элементов микроархитектоники текста на пси-эффект (оно осталось – и в коэффициенте ξ, и – в неявной форме – в подынтегральной функции); сейчас мы это влияние расписали предельно ясно.
4. Энергетический потенциал текста и его эмоциональная окраска
Понимание энергетики текста существенно осложняется тем обстоятельством, что большинством – как читателей и авторов с одной стороны, так и литературоведов – с другой, энергетика текста постоянно (и некорректно) смешивается с понятием его эмоциональной окраски. Необходимо постулировать, со всей определённостью, что эти два понятия – энергетической составляющей текста и его эмоциональной составляющей – не идентичны. Хотя энергетика текста, как правило, и зависит от его эмоциональности (в этом легко убедиться, вспомнив, что подчёркнуто безэмоциональные тексты, например, технические инструкции, научные пособия, исторические справки – не задевают нас, по причине своей "сухости") но связь эта не прямая, и поэтому будет некорректным ставить знак равенства, – как то делают некоторые филологи и критики при анализе текстов, – между энергетическим потенциалом произведения и его эмоциональностью.
Вообще, "эмоциональность" – крайне неопределённый термин, которым можно называть что угодно; задумаемся о нём в контексте тех понятий и определений психоделики, которые мы уже сформулировали и конкретизировали. Итак, получается, что под эмоциональностью текста можно понимать наличие в нём некой экспрессивной составляющей, – однако и трансфиксии вызывают в читателе определённые, а иногда – очень сильные, эмоции. Но так как именно экспрессии и трансфиксии являются принципиальными энергетическими структурами любого текста, то получается, что понятие "эмоциональности" включает в себя эту характеристику произведения, – однако, не только её. Дело в том, что эмоции имеют, помимо чисто энергетической составляющей, ещё и окраску, – эмоциональную окраску.
И вот здесь мы и приходим к правильному пониманию того, как на самом деле формируется "эмоциональность" текста: она включает в себя две независимые компоненты: энергетическую составляющую и эмоциональную составляющую. При этом, эмоциональная составляющая отвечает только за эмоциональную окраску текста, другими словами – за то, является ли текст весёлым, жизнеутверждающим, позитивным, мажорным, радостным, – либо наоборот: грустным, минорным, мрачным, негативным, суицидальным. Тогда, скажем, такая характеристика, как "отчаянье", – приобретает совершенно конкретный смысл: это сочетание эмоциональной "мрачности" и высокой энергетики. В противоположность этому, "тоска" или "сплин" – становятся сочетанием "мрачности" с низкой энергетикой. "Триумфальность", пользуясь тем же способом, можно описать как сочетание радостности с высокой энергетикой, а "лёгкое воодушевление" – как сочетание радостности с низкой энергетикой.
Всё это можно себе наглядно представить, обратившись к рисунку, приведённому ниже.

На рисунке мы видим две взаимно перпендикулярные плоскости, делящие весь объём на четыре пространственных сектора, подобных квадрантам на плоскости. Каждый из этих секторов ограничен двумя полуплоскостями и представляет собой двугранный угол. При этом, горизонтальной плоскости x соответствует эмоциональная окраска произвения, а вертикальной y – его энергетика. Луч S0S, лежащий на пересечении плоскостей x и y, является осью, относительно которой происходит развитие произведения во времени t, либо в пространстве реального текстового поля S. Время может измеряться в секундах, а текстовое поле – в условных единицах, соответствующих характеру того или иного текста, – например, в стихах (строках) для поэтического произведения.
Горизонтальная плоскость x соответствует эмоциональной окраске текста; чем ближе к нам расположены её точки, тем они эмоционально позитивнее (светлее), а чем дальше от нас они удалены, тем эмоционально негативнее (темнее) для нас они становятся. Вертикальная плоскость y соответствует энергетическому потенциалу текста; чем выше на ней располагаются точки, тем более высокой энергией они обладают; точки, лежащие на луче S0S, не обладают энергией по отношению к читателю, а точки, располагающиеся ниже этого луча, обладают отрицательной энергетикой, – иными словами, в этой области читатель будет отдавать свою энергию, теряя её при чтении текста.
Таким образом, некоторая функция, обозначенная на нашем рисунке кривой ABCDEF, зависящая от параметра t или S, будет однозначно задавать, в каждой своей точке, энергетику и эмоциональную окраску произведения – во времени или в пространстве текстового поля. Двугранный угол α соответствует области с тёмной эмоциональной окраской и положительной энергетикой; двугранный угол β – области со светлой эмоциональной окраской и положительной энергетикой; угол γ – области со светлой эмоциональной окраской и негативной энергетикой; и, наконец, δ – области с тёмной эмоциональной окраской и негативной энергетикой.
Кривая AB лежит в секторе α, при этом точка B принадлежит плоскости x. Кривая BC лежит в секторе δ, при этом точка C принадлежит плоскости y. Кривая CD лежит в секторе γ, при этом точка D принадлежит плоскости x. Кривая DE лежит в секторе β, при этом точка E принадлежит плоскости y. Наконец, кривая EF лежит в секторе α. Точки A и F являются, соответственно, начальной и конечной точками произведения.
Если мы условимся, что горизонтальная и направленная к нам от луча S0S полуплоскость является "положительной" в смысле эмоциональной окраски, а горизонтальная полуплоскость, направленная от луча S0S в противоположную от нас сторону, является отрицательной, то сам луч S0S тогда будет представлять нулевую (в эмоциональном отношении) текстовую матрицу. Если мы, подобным же образом, условимся, что вертикальная и направленная вверх от луча S0S полуплоскость является положительной в смысле энергетики, а вертикальная и направленная вниз от луча S0S полуплоскость является отрицательной в энергетическом смысле, то тогда луч S0S будет задавать энергетически-нулевую (нейтральную) текстовую матрицу.
На практике, примером такой "нулевой" текстовой матрицы может служить любой технический текст, – скажем, инструкция к пользованию пылесосом. Большинство описательных текстов из учебников и энциклопедий попадают в эту же категорию. Поэтические тексты, разумеется, почти никогда "нулевыми" не являются, – по крайней мере, в смысле их эмоциональной окраски. В реальных просодических художественных произведениях кривые, описывающие их эмоциональную окраску и энергетику, лежат, как правило, в одном или в двух смежных двугранных углах, поскольку поэтические произведения сравнительно небольшой величины весьма редко меняют полярность энергетики и/или эмоциональной окраски.
Интересно отметить, что такая, отвечающая рассмотренной схеме, однофакторная двухпараметрическая модель, включающая раздельные значения для эмоциональной окраски и энергетики текста, удовлетворительно объясняет тот, часто отмечаемый при анализе произведений, факт, что т. наз. "чёрные экспрессии" обыкновенно несут в себе большой заряд энергии, которая ощущается очень многими читателями, и именно это делает такую, казалось бы, "негативную" форму – "продуктом вкусового выбора" для некоторых читателей (а равно, и авторов).
5. Тексты с опасной и с терапевтической энергетикой
Нужно верно представлять себе – что такое "энергетическая составляющая" произведения; она может быть не только положительной – "высокой" или "низкой", но и отрицательной. Отрицательная энергетика в тексте проявляется прежде всего в том, что чтение его отнимает энергию у читателя – вместо того, чтобы насыщать его ею. В этом отношении, следует помнить, что тексты со значительной отрицательной энергетикой могут быть очень опасными, – особенно в отношении людей эмоционально нестабильных, склонных к самопроизвольной потере энергии (иногда называемых "энергетическими донорами").
Необходимо правильно понимать, что "отрицательная энергетика текста" в данном контексте не синоминична "отрицательной эмоциональной реакции при чтении текста"; последняя имеет отношение к окраске эмоций, вызываемых текстом в читателе, – в то время, как первая указывает на то, что читатель при чтении текста расходует (а не получает) энергию, – безразлично какой эмоциональной окраски. Я оставляю открытым вопрос – могут ли тексты, вызывающие сильную положительную эмоциональную реакцию в читателе, быть энергетически-негативными, опустошать его. Такую ситуацию сложно себе представить, – и вместе с тем я видел немало произведений, вызывающих в читателе слабую положительную эмоцию, однако в энергетическом аспекте – несущих (как правило, небольшой) отрицательный заряд.
В известном смысле, тексты с отрицательной энергетикой "разрушают" читателя, отнимают силы, наполняют его слабостью. Читать такого рода тексты в больших количествах даже спокойному, уравновешенному читателю может быть небезопасно, – поскольку результатом могут стать депрессии, снижение общего тонуса, ослабление иммунитета. Тексты этого рода могут считаться опасными и для авторов, их пишущих, поскольку автору при создании подобного текста необходимо "переместиться" в такую область, где его внутреннее состояние соответствовало бы энергетике текста, и застабилизироваться в этой области – на время, достаточное для написания самого текста. В то же время приходится признать, что существуют некоторые авторы, умеющие создавать энергетически-негативные тексты без тяжёлых последствий для себя, связанных с энергетическими потерями; одним из способов, ими использующихся для этого, является очень быстрая методика создания произведений, выражающаяся либо в краткой форме самих произведений, либо в том, что пишутся они в технике потока сознания, позволяющей создавать весьма длинные тексты "на лету", не задерживаясь для кропотливых "отделочных работ", – и, таким образом, автор не "зависает" надолго в энергетически-опасной области.
В противоположность текстам с опасной (резко-негативной) энергетикой, существуют тексты с выраженной терапевтической энергетикой, которая проявляется в их уравновешивающем и гармонизирующем влиянии на читателя. Такие тексты несут, как правило, высокий положительный энергетический потенциал, распределённый достаточно равномерно по всему объёму произведения, – хотя они и могут, иногда, начинаться с весьма низкой энергетики, постепенно усиливающейся к финалу. Регулярное чтение подобных текстов оказывает балансирующее и стабилизирующее воздействие на эмоционально-психологическое состояние читателя, способствуют росту чувства комфорта и удовлетворённости окружающим и собой, – таким образом, индуцируя определённые психосоматические эффекты, систематическое получение которых способно благотворно сказываться на его состоянии здоровья.
Я сейчас крайне далёк от того, чтобы "прописывать" чтение определённых психоделических текстов больным теми или иными нервными расстройствами, а равно и призывать читателей к систематическому использованию психоделических произведений для достижения каких-то стабильных изменений в собственной психике. Вместе с тем, я нахожу не подлежащим сомнению, что чтение психоделических текстов, и не обязательно трансгрессивного типа, может являться очень серьёзным подспорьем на пути "духовных исканий" стремящегося к самосовершенствованию читателя, – каковы бы эти пути ни были.
6. Онтологические корни энергетики текста
Наибольшая сложность для понимания того, что именно представляет собой энергетика текста, очевидно, заключается в недостаточно явной онтологической связи её с остальными характеристиками текста, лучше или хуже поддающимися эмпирическому анализу. Попытаемся прояснить один принципиальный момент, касающийся источника той энергии, которую мы взялись изучать. Откуда вообще берётся энергетика текста, если отвлечься от собственно-текстовых структур, создающих определённый энергетический потенциал внутри произведения, а сконцентрироваться на непосредственном получателе этой энергии – читателе? Какова её природа? И вот здесь мы и получаем достаточно парадоксальный ответ: эта энергия берётся (как и любая другая, сопряжённая с деятельностью, обусловленной человеческим восприятием, будь то прослушивание музыки, рассматривание произведений скульптуры или живописи, а равно и погружение в синтетические виды искусства, такие, как театр, балет, кино или телешоу) исключительно из эмоционального отклика человека (в нашем случае – читателя) на источник внешнего раздражения, являющийся, условно говоря, произведением искусства (в нашем случае – текстуальным).
Но если энергетика текста обусловлена только эмоциональным откликом читателя, то чем она – по сути – отличается от эмоциональной составляющей текста, которая в свою очередь продуцируется тем же эмоциональным откликом? Не становимся ли мы пленниками собственной концепции, подобно обитателям замкнутой вселенной Эйнштейна, начинающим свой путь от некой полярной точки и следующих вдоль прямой, ведущей в бесконечность (или в то, что им представляется бесконечностью), а затем (в силу замкнутого характера собственной вселенной) возвращающихся к исходной точке, но уже со стороны, противоположной той, в которую изначально направлялись? Не доказываем ли мы себе сейчас, что энергетика текста и его эмоциональная окраска могут являться синонимическими понятиями? – Ответ на этот вопрос остаётся отрицательным, и вот почему: энергетика текста и его эмоциональная окраска берут начало в качественно-различных эмоциональных откликах читателя (слушателя).
В то время как эмоциональная составляющая текста держится на простых эмоциональных откликах читателя, энергетика текста обусловливается сложными, хотя и не обязательно неоднозначными, эмоциональными откликами. Под простыми откликами (отвечающими за эмоциональную окраску) мы подразумеваем те, которые читатель способен самостоятельно отслеживать в процессе чтения (прослушивания) произведения, таким образом получая возможность самостоятельно контролировать свою реакцию и используя полученную информацию в качестве сигнала обратной связи, для аутомодуляции и корректировки собственного отклика. Под сложными откликами (отвечающими за восприятие энергетики текста) мы понимаем такие, которые не отслеживаются самим читателем или не интерпретируются им в терминах собственной эмоциональной ангажированности, не "транслитерируются" и не "картографируются" читателем в качестве некой навязываемой ему автором сенсорной задействованности. В этом случае, читатель не имеет возможности использовать самонаблюдение при чтении или прослушивании текста для генерации сигнала обратной связи, а соответственно – и для модуляции собственного отклика на текст. Поэтому, несмотря на общую эмоциональную природу читательского отклика, ощущение от энергетической составляющей текста у читателя будет сильно отличаться от восприятия эмоциональной составляющей того же текста.
Таким образом, можно построить достаточно конкретное определение энергетики текста: энергетика – это эмоциональный отклик на текст, исключающий саморегулирующую функцию внешнего оценочного компонента. Под "внешним" здесь имеется в виду – по отношению к непосредственному процессу восприятия текста. Оценочный компонент всегда присутствует в читателе, выполняя функцию некоторого "стороннего наблюдателя"; он отслеживает собственную реакцию читателя на им же воспринимаемый текст. А кроме того, этот "наблюдатель" оценивает – насколько собственная реакция читателя соответствует той (умозрительно достраиваемой) реакции, которой хотел добиться автор текста; и чем очевиднее его (автора) попытки в использовании сильнодействующих, но легко распознаваемых средств для получения желаемой им реакции, тем категоричнее оценочный компонент, работающий в читателе, вводит поправочный сигнал, растождествляющий читателя с лирическим героем текста, либо отменяющий функцию беспрепятственного "погружения" в текст. Вследствие этого, лишь сублиминальные тексты, где нет явных попыток воздействия на внимание читателя, имеют шанс – обойти бдительность внешнего оценочного компонента читателя и не запустить весьма совершенный саморегулирующийся механизм – по отслеживанию и нивелированию такого воздействия.
Как работает механизм
внешнего оценочного компонента? Очевидно, по тому же принципу, которому следует автоматическая маркировка коллокаций, рутинно осуществляемая читателем; другими словами – распознавая известные модели и схемы – и отметая их, либо пытаясь их компенсировать путём уменьшения сигнала отклика, в нашем случае – снижением степени восприятия читателем текста. В книге
Как работает язык6 Дэвид Кристал даёт следующее весьма изящное определение: “
Тенденция лексем работать совместно, предсказуемыми путями, известна как коллокация. Британский лингвист J.R. Firth (1890-1960) сформулировал это так: “Вы узнаёте слово по той компании, которой оно придерживается.” Каждая лексема имеет коллокации, но некоторые из них являются значительно более предсказуемыми, чем другие.” (пер. ЧГ) В нашем случае, часть внимания читателя, не задействованная при восприятии текста, осуществляет работу по выявлению и отслеживанию своеобразных клише и утилизированных схем, использованных автором текста, распознавая их как своеобразные коллокации, только значительно более высокого порядка сложности.
7. Универсальность понятия энергетического потенциала текста
Предвосхищая возможное возражение по поводу того, что мы берёмся рассматривать понятие энергетики текста в чрезмерно упрощённом свете, сводя всё лишь к одному виду энергии, в то время как таких видов, возможно, существует множество, – хочу сразу внести ясность в этот очень важный в теоретическом отношении вопрос. Итак, при рассмотрении энергетики с позиций теории психоделики, нам представляются в высшей степени неконструктивными любые попытки намеренного усложнения этого аспекта восприятия художественных текстов (уже и без того достаточно сложного), сопряжённые со спекулятивными рассуждениями о возможности существования разных типов энергии, способной передаваться читателю из текста. В определённом смысле, ситуация здесь аналогична той, какая существует с пониманием электричества; сегодня выглядело бы совершенно бессмысленным заявление о том, что может существовать множество видов электрической энергии, как то: энергия лампочек накаливания, кипятильников и бытовых электроплиток, энергия газоразрядных ламп, энергия роторных электродвигателей, энергия электролитических установок и гальванических ванн, энергия аккумуляторов и электрических батарей, энергия полупроводников и фотоэлементов, и т.д. Даже школьнику совершенно очевидно, что различными являются лишь вызываемые ею эффекты, а сама электроэнергия – универсальна и представляет собой, в самом общем случае, результат нескомпенсированного перемещения заряженных частиц в пространстве.
Приведём ещё один пример. В своей книге о внутренних энергиях, используемых в искусстве тайчи,
7 Чжэнь-гун говорит о 38 (!) различных видах энергии, используемых бойцом; к ним относятся, например: энергия привлечения и удержания, энергия нейтрализации, энергия высвобождения, энергия поднимания, энергия погружения, энергия схватывания, энергия рассредоточения, энергия отражения, энергия надавливания, энергия подтягивания, энергия разделения, энергия скручивания, энергия перехватывания... Неужели все они обладают различной природой? Разумеется, нет. Энергия, в даосской традиции, имеет единую природу; это та самая "ци", которая берёт начало из двух противоположных и взаимодополняющих источников, ян и инь; – тогда как все перечисленные китайским мастером виды являются не более чем конкретными приложениями и специфическими случаями её использования. Рассматривая перечисленные подвиды энергии в более предметном контексте, имеющем отношение непосредственно к тайчи, мы заметим, что все они представляют собой различные формы нэй-цзинь, внутренней энергии.
С энергетикой текста мы имеем нечто подобное: она может вызывать в читателе достаточно разнообразные ощущения, может проявлять себя в различных эффектах – как в зависимости от типа читателя, так и от типа произведения, в котором содержится; однако сам по себе энергетический потенциал любого текста – есть понятие универсальное, и определяется лишь количеством и свойствами энергетических структур, содержащихся в тексте; другими словами, если рассматривать его на уровне мезоархитектоники, то такими "энергетическими" структурами будут экспрессии и трансфиксии, а если рассматривать на уровне микроархитектоники, то этими структурами будут элементы (или модули) низкого уровня, работающие в самосогласованном режиме.
Представляется логичным – предположить, что у разных читателей может быть различная индивидуальная чувствительность к разным типам произведений, поэтому в произведениях одного типа энергетика может ими восприниматься лучше, в произведениях другого типа – хуже. Но это не означает, что читатели лучше воспринимают одни типы энергетики и хуже – другие, а лишь то, что они, в силу собственных эстетических или иных предпочтений, а также в силу особенностей самих произведений, могут воспринимать энергетический потенциал одних текстов более полно, чем энергетический потенциал других. Выражая это иными словами, можно сказать, что энергетика текстов читателями воспринимается достаточно индивидуально, несмотря на её универсальный характер.
8. Энергетический барьер пси-эффекта
Каким образом связана с энергетикой та система восприятия текста, которую мы успели достаточно подробно описать в разделе 3.2.4 Введения в теорию психоделики2? Для наглядности приведём следующую схему, подобную схеме энергетического профиля развития реакции, которая обычно даётся в литературе по химической кинетике и реакционным механизмам, где объясняются основные положения теории активированного комплекса (или теории переходного состояния, как её чаще называют сегодня).8

В нашем случае, вертикальная координата обозначает энергию, получаемую читателем при чтении текста, а горизонтальная – время. Состояние I0 соответствует исходному энергетическому состоянию читателя, – или, как мы его обычно называем, нормальному состоянию сознания. Состояние I1 соответствует повышенному энергетическому уровню читателя, либо изменённому состоянию его сознания. Как видно из рисунка, между состояниями I0 и I1 лежит энергетический барьер, который читателю необходимо преодолеть – для того, чтобы его состояние сознания могло быть изменено. Этот барьер соответствует – в теории переходного состояния – активированному комплексу X‡, с той лишь разницей, что уровень энергии продуктов химической реакции I1 обычно лежит ниже уровня энергии исходных реагентов I0, а не наоборот (как в нашем случае). В теории психоделики это переходное (активированное) состояние, Iψ, а также соответствующий ему энергетический барьер, Eψ, и будут определять величину и характер пси-эффекта, получаемого читателем при чтении психоделического текста.
Таким образом, ΔE описывает изменение уровня энергии читателя при переходе его из нормального состояния сознания в изменённое состояние сознания:
ΔE = E1 – E0 (3)
А Eψ представляет собой величину энергии, необходимую для того, чтобы читатель смог получить пси-эффект, переходя при этом в состояние Iψ. Как следует из приведённой схемы, величина энергетического скачка пси-эффекта много больше энергии, на которую разнятся нормальное и изменённое состояния сознания читателя: Eψ >> ΔE.
Можно предложить следующее выражение для расчёта энергии пси-эффекта:
Eψ = θ (EE + ET) = θ Eλn (4)
где EE и ET – соответственно, суммарная энергия экспрессий и суммарная энергия трансфиксий, вызывающих этот пси-эффект; Eλ – кумулятивная энергия элементов низкого уровня, вызывающих пси-эффект; θ – дискурсивный сомножитель, зависящий от способа подачи (или способа восприятия) текста; а n – некоторая степень, отвечающая кумулятивному эффекту, возникающему за счёт самосогласованности элементов низкого уровня; при этом, n ≥ 1, а для каскадного эффекта n >> 1.
Хотелось бы подчеркнуть, что суммарная энергия экспрессий и суммарная энергия всех трансфиксий, вызывающих пси-эффект (EE и ET), могут быть меньше, чем, соответственно, суммарная энергия всех экспрессий и суммарная энергия всех трансфиксий, содержащихся в тексте. Это связано с тем, что некоторые экспрессии и трансфиксии, находящиеся в конкретной текстовой матрице, могут не участвовать в процессе непосредственного возникновения пси-эффекта в читателе – либо в силу своей пространственной удалённости, либо по другим причинам.
В принципе, не будет неверным утверждение, что энергетика психоделических текстов, обычно, выше, чем энергетика текстов суггестивных и не-психоделических. Это связано с большей "направленностью" психоделических произведений на читателя, с большей их "заточенностью" под читателя, – в силу чего та энергия, которой они обладают, выплёскивается на читателя более "прицельно". В текстах, где присутствует психоделика трансгрессивного типа, энергетика, как правило, ещё выше,3 поскольку энергетический барьер, соответствующий трансгрессивному пси-эффекту, существенно выше энергетического барьера, отвечающего пси-эффекту не-трансгрессивных психоделических произведений: ведь трансгрессивные тексты "забрасывают" читателя намного дальше, чем тексты не-трансгрессивного типа, – другими словами, первые способны изменять сознание читателя значительно сильнее, нежели вторые.
Интерпретируя уравнение (4) в более понятных терминах, можно заключить, что экспрессии в любом психоделическом тексте несут кинетическую энергию, а трансфиксии – потенциальную. Необходимо правильно понимать одну существенную деталь, касающуюся психоделических текстов: энергетика не является синонимическим понятием для пси-эффекта. Энергетический потенциал текста – это та сила (правильнее сказать – работа), которая запускает пси-эффект; та критическая составляющая, благодаря которой пси-эффект способен существовать. Если угодно, энергетика текста – это необходимое условие для возникновения пси-эффекта.
Вместе с тем, нужно помнить, что существуют тексты, в которых присутствует очень заметная энергетика, но которые не производят в читателе пси-эффекта, фактически представляющего собой мощный выброс энергии с переводом (перебросом) состояния сознания читателя на изменённый (по отношению к исходному) уровень, и такие тексты невозможно причислять к психоделическим. Чаще всего, в подобных произведениях либо содержится недостаточное количество энергетических текстовых элементов, либо эти элементы работают недостаточно синхронизированно и самосогласованно; какую-то работу в читателе они производят, но не приводят к возникновению ощутимого пси-эффекта, выражающегося в регистрируемом самим читателем изменении состояния сознания. Таким образом, возможны тексты с достаточно заметной энергетикой, однако приводящие к весьма умеренному пси-эффекту (либо вообще к нему не приводящие), но невозможны тексты, вызывающие выраженный пси-эффект, которые бы не обладали сильной энергетикой.
Jan 2013, Swansea, UK
1. James L. Kent. Psychedelic Information Theory: Shamanism in the Age of Reason. Seattle: PIT Press Supermassive, 2010, p. 12-14.
↑
2. Чёрный Георг. Введение в теорию психоделики.
Сетевая Словесность, дата публикации: 12.06.2011,
http://www.netslova.ru/b_georg/psychodelic-theory.html.
↑
3. Чёрный Георг. Психоделика в первом приближении.
Новая Литература, дата публикации: 20.01.2012,
http://newlit.ru/~blackgeorge/4649.html;
Европейская Словесность, вып. 1, 2012, с. 63-72.
↑
4. Stephen Hawking. The Universe in a Nutshell. London: Bantam Press, 2001, p. 50.
↑
5. Чёрный Георг. Психоделические альфа-ритмы современной поэзии.
День и ночь, No. 5, 2012, с. 221-222,
http://magazines.russ.ru/din/2012/5/c39.html.
↑
6. David Crystal. How Language Works. London: Penguin Books, 2005, p. 194.
↑
7. Чжэнь-гун. Внутренние энергии в тайцзи-цюане. пер. В. Ижакевич, пер. Stuart Alve Olson, Киев: София, 1996, с. 42-44.
↑
8. Michael J. Pilling, Paul W. Seakins. Reaction kinetics. Oxford: Oxford Science Publishing, 1995, p. 66-69.
↑
Приложения
Приложения представлены исключительно в ознакомительных целях, не претендующих на исчерпываемость демонстрационного материала в отношении тех принципов, которые этот материал иллюстрирует. В качестве примеров были отобраны мои собственные произведения, из числа написанных за период 2007-2011 гг. Следует помнить, что восприятие психоделики является достаточно индивидуальным процессом, а потому – отдельные из показанных типов психоделических текстов, представляющиеся наиболее характерными мне, могут не показаться таковыми некоторым из читателей, даже входящих в целевую группу, на которую приведённые тексты были ориентированы.
Приложение A соответствует психоделике с высокой энергетикой и тёмной эмоциональной окраской (отрицательной эмоциональной тональностью); приложение B – психоделике с низкой энергетикой и тёмной эмоциональной окраской; приложение C – психоделике с высокой энергетикой и светлой эмоциональной окраской (положительной эмоциональной тональностью); приложение D – психоделике с низкой (но положительной) энергетикой и светлой эмоциональной окраской; приложение E – психоделике со средней энергетикой и без эмоциональной окраски (с очень низкой эмоциональностью); приложение F – психоделике с высокой энергетикой и смешанной эмоциональной окраской; приложение G – психоделике с отрицательной энергетикой и умеренно тёмной эмоциональной окраской; приложение H – трансгрессивной психоделике со слабо выраженной (близкой к нулевой) эмоциональной окраской; приложение I – психоделике трансгрессивного типа со смешанной эмоциональной окраской; приложение J – психоделике со средней энергетикой и смешанной эмоциональной окраской.
|
A: Любовь к животным |
F: Она |
|
B: бремя имён собственных |
G: Сквозные окна |
|
C: Двое тебя |
H: Неумирающий под лучом |
|
D: Когда магия теряет силу |
I: Апокрифическое послание Иуды |
|
E: вращая зебру мёбиуса |
J: необратимость |
приложение A
Любовь к животным
В террариуме разрывалась птица:
Её кормили мелкому варану.
Вараны не едят паштет и пиццу,
И людям не казалось слишком странным –
Отдать ему живого попугая.
Варан был молодым и неумелым.
Он знать не знал – как быстро убивают,
Кусал за крылья и увечил тело.
А птице было муторно и страшно,
Она кричала и вертела шеей.
Один из глаз был изнутри окрашен
Пернатой кровью, бусиной алея.
Варан ломал пластинки тонких рёбер,
Сжимая птицу ртом – почти бесцельно;
Их треск его нимало не коробил.
И попугай кричал – в тоске смертельной.
В стеклянных стенах не было спасенья,
А смерть была мучительной и длинной –
В один из дней стремительных осенних,
Когда так сладко – в кресле у камина
Дремать, – забыв о людях и варанах,
О тварях, пожирающих друг друга,
В компании варенья и баранок,
И стрелок, мерно рыщущих по кругу...
А птица всё кричала и кричала –
От боли, безысходности и страха.
И люди, возбуждённые сначала,
Теперь смеялись: им была рубаха
Варана ближе к телу. Их умищам
Казалось, что они неуязвимы.
А птица – это просто шум и пища.
И из троих двуногих побратимов
Никто не ведал, что один – погибнет
Спустя два года в автокатастрофе, –
Не сразу, в скорой помощи... Завидной
Такую смерть бы даже на Голгофе
Не посчитали. А второй приятель
Умрёт от пожирающей саркомы,
Шесть с половиной месяцев потратив
На "чистки", облучения, уколы...
И от агонизирующей боли
В последние пять дней ему спасаться
Ни хаш, ни даже морфий – не позволят...
Но это будет лет через двенадцать.
А третий наблюдатель сцены с птицей,
Хозяин злополучного варана,
Умрёт через пятнадцать лет в больнице
От осложнений позвоночной травмы,
Утратив чёткость мыслей и решимость,
И веру в хирургическую помощь,
Прицепленный к диализной машине,
По сути дела превращённый в овощ.
Из четверых &‐ варан умрёт последним.
Его и прочих беспризорных тварей,
Оставшихся от овоща, соседи
Передадут для опытов в виварий.
Что делать!.. – Каждой ткани, шкуре, коже
Когда-то быть разорванной придётся,
И самые последние, возможно,
Увидят, как на небе гаснет солнце.
Ну, а пока – незнания печати
Им маскируют всё, что будет после...
А птица наконец-то замолчала,
И стало слышно, как хрустели кости.
приложение B
бремя имён собственных
а вот почему-то тоска к нему не пришла.
небо вызвездилось миллионами чёрных труб.
он вдруг вспомнил, что в мире, собственно, нет ни зла,
ни дакинь, ни голодных демонов... – только труп
человека, который был столько лет им самим.
а теперь, неожиданно, стал так хорош-красив,
обожаем многими, несколькими – любим...
будь серьёзным, не смейся, держись из последних сил.
перед тем, как замуровать с видом на восток,
испекут его, как асбестовый каравай...
вот оно, вот, держи и пользуйся – на все сто.
только собственным именем труп свой не называй.
приложение C
Двое тебя
Если в мире во всём есть лишь двое тебя,
Значит, явь стала сном. Значит, внутренний свет
Захлестнул всё, что раньше могло устоять.
Только вместе с тобой – в животе, в голове...
Только вместе с тобой в перьевых облаках,
На перинах из перьев мифических птиц:
Мореплаватель. Дож. Лилипут. Великан.
Нарушитель всех правил, табу и границ.
Мне хотелось бы плавать в высокой траве,
Нагишом шелковистые стебли сминать –
Только вместе с тобой. Мне хотелось бы петь.
Мне хотелось бы пить ледяной лимонад.
Только вместе с тобой кувыркаться в песке.
Чтоб стрекозы. И сосны. Песок в волосах,
Миллиарды песчинок. Колышется степь,
Принимая вибрацию – нашу и трав...
От дыхания ветра в медовых зрачках
Появляются солнечных гало круги...
Только вместе с тобой меня тянет кричать –
Так безудержно, дико, до слёз, до кровú.
Только вместе с тобой моя жизнь до краёв
Переполнена счастьем, промыта в дождях...
Я не знаю, зовётся ли это – «любовь»,
Если в мире во всём есть лишь двое тебя.
приложение D
Когда магия теряет силу
Сосновых веток тени на песке,
терпеново-грибничный аромат.
Я сжал твою ладонь в своей руке...
Июнь на коже, а под сердцем – март.
Душистым чабрецом зарос овраг.
Бессмертника с шалфеем диалог...
Осталось только ноты подобрать –
и плавать, как беспечный papillon,
в потоках, наблюдая: вдоль стволов
прозрачная и мутная смола
сочится – в неба близкий потолок,
и загорать, раздевшись догола.
Как будто вертикальная река
уходит вверх от берегов косых...
И сладко разжимается рука,
нащупав земляничные усы.
И зверобоя цвет в твоих глазах...
И волосы касаются щеки...
И можно что-то шёпотом сказать –
и влажным поцелуем защитить.
Среди полей заросший пижмой холм
и светлые разводы тишины...
И жить так удивительно легко,
что чудеса и даром не нужны.
приложение E
вращая зебру мёбиуса
тёмная лента останется тёмной
светлая лента останется светлой
лента дороги ведущей к простому
к слишком простому для правды ответу
смотришь и вдруг улетает по ветру
собственный довод и прошлое стёрто
тёмная лента становится светлой
светлая лента становится тёмной
приложение F
Она
Она была высокой. И вовсе не худой.
Был окружён осокой и дождевой водой
её чертог, – затерян в прибрежной полосе.
Её боялись звери.
Е ё б о я л и с ь в с е.
Она ходила тихо, как ветер по ставкам,
и побеждала лихо, – никто не знает – как,
подобно провиденью и солнечным лучам.
Вздох лиственных растений всегда её встречал.
А мы её не знаем, и видеть – не хотим.
Все мысли наши – в мае, и все тела – в пути.
Пусть день наш будет долог, пусть нам весна поёт.
Мы спрячемся за полог, чтоб скрыться от неё.
* * *
Она нас не искала. – Зачем ей нас искать?..
Она прошла по скалам; ей следовал закат.
Переполняя чашу, заухала сова...
Мы прошептали наши последние слова.
...Вошла, неслышным шагом, и запахи внесла –
темнеющего сада, вечернего весла
и опустевших улиц, уже глаза в глаза...
и тихо улыбнулась
скрывающимся за
приложение G
Сквозные окна
За окном больничный сквер. Клёны с гнёздами грачей.
Клумба, голая, как плешь. Пять нестриженых кустов.
Сколько в нём сломалось вер?.. Сквозь отчаянья простор –
Сколько уплыло надежд?.. Он – больничный.
Он ничей.
Улыбайся.
Не молчи. Говори – не важно, что.
Если знаешь. Если нет – не смущайся, всё равно.
Эти скрытные врачи... Люди в белых кимоно.
Не дают простой ответ. – И не надо.
Длинный шток,
На котором реет флаг – на картине. Ветер стих.
Посиди со мной, хоть час. Здесь почти до десяти
Разрешают... Нет, не мрак. «Если любишь, отпусти.» –
Может, это и про нас. Вурдалак ты, или псих, –
Но моё воображе... Да, рисует, ещё как!
На картине выпал снег. Чёрным бисером – грачи...
На вопрос: “Ещё?.. Уже?..” – раздражаться нет причин.
Он обычный человек. Ты – пылинка на руках
У Творца
Прозрачных стен... Сколько здесь знакомых лиц!..
В свете солнечном танцуй. В лёгких радужная слизь...
На картине ночь и день
Окончательно слились...
Загляни в лицо скворцу, сквозь мерцание ресниц...
И опять больничный сквер. Клёны с гнёздами грачей.
Запах снега...
Не вдохнуть. Что-то умерло внутри...
Сколько в нём – надежд и вер!.. Ничего не говори.
Здесь заканчивает путь слов серебряный ручей...
приложение H
Неумирающий под лучом
Когда-то Ург зашёл в один буддийский монастырь
и сел в саду под деревом. Напротив – бульденеж
качал своими гроздьями соцветий. Ург застыл
и долго созерцал, пока не начало темнеть.
В молочных сумерках пришёл почтительный монах,
сел, поклонившись Ургу, и спросил его – зачем
мир создан непрерывным – из раздробленных монад,
и только маленький Кюн Вог танцует на луче?
Ург улыбнулся и запел. Потом затанцевал.
Затем заухал, как сова, и закатил глаза.
Взмахнул руками, прошипел – не шёпот, не слова.
Преобразился – и ушёл, ни слова не сказав.
...С тех пор прошло так много лет, сменилось столько черт.
Монах – в другом монастыре, а бульденеж зачах.
И только маленький Кюн Вог танцует на луче...
на двух лучах, на трёх лучах, на четырёх лучах......
приложение I
Апокрифическое послание Иуды
Кровь зазеленеет по весне.
Яблоки зардеются к закату.
Я повешусь ночью на молоденькой сосне.
День родится...
Вот и всё, ребята.
Солнце вспрянет из рассветных пут.
Поползень, найдя личинку, вспискнет.
На холме – иван-да-марьи заросли в цвету.
Над оврагом лопухи нависли...
Не бывает «мира без меня».
Я внезапно обнаружусь – рядом:
В стёклышке, блеснувшем у полёгшего плетня,
В ивах за кладбищенской оградой,
В повилики розовых цветах,
В силуэте завихрённой тучи...
Чем бы ни был я теперь, и чем бы впредь ни стал,
Всё равно – субстанцией текучей
Просочусь, просеюсь – в закрома
Сердца нестареющей Вселенной:
Разума заведомо-песчиночный формат
Делает его почти нетленным.
Неуничтожима наша суть.
Эй, тираны мира, – трепещите!
Жизнь себя отыщет непременно – где-нибудь...
Умирать легко. –
Скажи, Учитель.
приложение J
необратимость
если хочешь убедиться, что земля
проницаема, а ты – неуязвим,
если ты созрел для ягодных полян
и полночного мерцания в крови,
посмотрел наверх – и обнаружил спуск,
дождь пошёл, но капель что-то не видать...
заглянул – а твой пакет желаний пуст,
и внутри тебя – обычная вода,
если больше не стремишься жить с людьми,
нет охоты знать – куда тебя несёт,
устранить себя и уничтожить мир
очень просто:
с д е л а й п а у з у –
...............
И В С Ё
Тема очень сложная. Сложно
Тема очень сложная.
Сложно комментировать Труд, который основан на эмпирическом методе изучения тонких энергий. Ещё сложнее проделать эту работу, этот Труд.
Но у Вас, Георг, получилось!
Вам удалось очень доходчиво всё объяснить, разложить по полочкам.
Сложную работу разноообразных видов энергии Вам удалость скомпоновать и преподнести в очень простом варианте исключительно для поэзии, показать фукнкцию энергии в поэзии, энергетику текста и энергетику читателя , происходящую от эмоций читателя.
Вам даже удалось упростить многообразие разнообразных видов энергии вместить всего в несколько качеств и тонов, положительных - светлых, отрицательных - тёмных, а также нескольких оттенков.
Читала и восхищалась.
Обычно самому простому пытаются придать видимость очень сложного, то есть всё усложняют, а Вам, уважаемый Георг, удалось сложнейшие виды энергий и их функции упростить и преподнести в такой доступной для каждого форме.
Этот Труд, как Вы говорите, расчитан на усреднённого читателя, человека.
Отсюда и исчезают все упрёки в Ваш адрес.
Вы не оставили своим аппонентам каких-либо аргументов, чтобы оспорить Ваш Труд.
Да, существует много видов энергии. Самая мощная энергия во вселенной - Время (всеразрушающая Кала) ничто во вселенной не может противостоять этой Мощи.
Вторая по силе - сексуальная.
Топом Шакти, Прана, энергия Огня, которая включает в себя энергию Солнца, привычного для нас огня от сгорания, элекричество ( это тоже энергия огня) и огня в огранизме челолвека- питы.
И множество, множество других.
Также каждый человек имеет свою исключительную природу, в зависимости от заложенных в нём качеств, которые в свою очередь отражают его уровень сознания.
Так к примеру
ана-майа
прана-майа
мана-майа
виджняна-майа
ананда
чит
сат
Ана - самый низкий уровень, почти животный и САТ - самый высокий, освобождённое, совершенное сознание , видение мира в том виде, в котором оно реально существует, без майи - иллюзорной энергии.
Поэтому и восприятие текста у всех разное. Одинаковым оно быть не может.
Оно может быть одинаковым у всех с одинаковым сознанием, у всех ана-май или у всех виджняна май.
Точто так же обстоит и с энергетикой текста.
Он может быть мощным, как прана майа, но человек с сознанием виджняна не оценить его так, как человек с сознанием прана-майи или ниже. Потому что уровень сознания выше и планка оценки выше, требования выше.
И наоборот в стихе может быть заложено Чит сознание, а человек с сознанием ана-майи, не сможет увидеть вообще ничего, это не вмещается в рамки его познания. Запредельно для него. Но это особый случай. это самый низкий уровень духовности, то есть сознания.
Чем выше сознание ( чем выше чакра, энергетический канал, которым воспринимается мир),
тем мощнее энергетика произведения. Но если у читателя этот энергетический канал не раскрыт, он способен воспринимать мир другим каналом, который ниже, чем у автора, то как можно ожидать от такого читателя достойной оценки, характеристики, критики ( в хорошем смысле)? Это невозможно.
Но Вам удалось показать , сформулировать сам процесс восприятия текста и выход энергии у читателя в виде разнообразных эмоций.
Можно только восторгаться и восхищаться Вами за такую проделанную работу, за такой титанический труд.
С уважением и пожеланием Сил и Шакти :) в Ваших Трудах.
Поэзия и теория
Дорогой Георг! И охота вам теоретизировать о поэзии. Понатаскали всего от теормеха до квантовой механики и биологии да ещё даосизмом припудрили. Мой совет - пишите стихи и радуйтесь жизни, пока пишется и пока радуется. А привычку к теории оставьте ремеслу, на то оно и ремесло. И чудится мне, что стихи ваши (те, что не под лекала, а на живом выдохе) переживут вашу "эйдологию". Жду не дождусь новых стихов в надежде пополнить любимое.
новая теория литературы
Честно говоря, я сам когда-то думал примерно таким образом. Но по мере того, как я всё больше узнавал реальное положение дел в современной литературе (не только поэзии), мои убеждения претерпевали ряд изменений. Сегодня расплодилось столько активно пишущих и столько текстов в доступных для читателя доменах, что уже совершенно невозможно обойтись без какой-либо системы отсчёта, - хотя бы ради того, чтобы не читать всё подряд. Да, это правда, что и в тонне мусора можно найти что-нибудь ценное, но если к литературе подходить с такими принципами, то всей жизни не хватит на то, чтобы хоть какое-то количество стоящего прочесть. Выход здесь один: изменять методы анализа и начинать читать селективно. Но тогда сразу встаёт вопрос: а какими критериями и мерками пользоваться? Неужели теми, что были навязаны нам каноническими трудами литературоведов прошлого? Но ведь литературоведение потому и не становится предметом всеобщего интереса, что вместо того, чтобы оперировать серьёзными научными принципами и теориями, оно строится почти исключительно на историко-литературных анекдотах и идиосинкразических воспоминаниях о жизни и деятельности т.наз. классиков, написанных какими-то очевидцами и домочадцами...
Вот так и получается, что вместо того, чтобы писать "бессмертные произведения" о непреходящих человеческих ценностях, приходится озвучивать некие концепции, на которых может быть построена объективизированная теория литературы, не привязанная исключительно к мега-спекулятивными терминам, - таким, как "высокий талант", "особая гениальность", "исключительная способность автора задевать душевные струны", и прочие перлы из лексикона "серьёзных" литературных критиков и филологов. Та "теория психоделики", о которой здесь идёт речь, на самом деле является новой теорией литературы, - не больше и не меньше.
Как бы то ни было, спасибо за то, что читаете мои тексты; это - самый большой комплимент, какой вообще можно сделать автору.
Спасибо за отклик
Спасибо, Георг, за отклик, за прямой по-мужски и основательный ответ. Кое-что и моя "кудрявая" голова сообразила. Не стану распространяться о литературоведении, здесь я дилетант. Но хотя моя профессиональная деятельность и протекала подле точных наук, мне всегда казалось, что о поэзии следует говорить на её языке. Можно конечно строить объективизированную теорию субъективного. Но зачем? Вряд ли она устранит разнопрочтение художественного текста. Автор видит в нём одно, редактор другое, а читатели третье - и каждый читатель своё. И стоит ли на чтение художественной литературы тратить всю свою жизнь, разве что профессия обязывает. Для нормального человека в период становления важен в этом деле больше духовный наставник, чем достижения науки, так мне кажется. В то же время вижу, что закладываете фундамент нового литературоведения. вероятно пришел тому час. Желаю Вам успеха и на этом поприще. Отмечу только, что читая, к примеру, поэзию Гумилева и отмечая для себя любимые стихотворения, абсолютно не соотношу это с его, Гумилева, теорией.
о выходе за пределы языка пользуясь средствами самого языка
Знаете, мне подумалось, что Вам, быть может, интересно будет почитать о некоторых из (наиболее серьёзных) причин, побудивших меня взяться за теоретические исследования в области литературы; они до определённой степени нашли отражение в разделах 4.3, 4.4, 4.5, 6.6 и 7.2 работы, которую Вы можете найти пройдя по ссылке 2. Странно, конечно, что столь критическую для развития, возможно, всей мировой литературы работу приходится вести на благотворительной основе и в свободное от работы время, но - столь ли это странно в век, когда битые постоянно возят небитых, а литература создаётся преимущественно усилиями авторов, которым и своим домашним сказать-то почти нечего, но которые не устают делиться с окружающими своими бесчисленными комплексами...
Рад был с Вами побеседовать, - надеюсь, не в последний раз.